• KANAD
  • Contact us
  • E-Submission
ABOUT
BROWSE ARTICLES
EDITORIAL POLICY
FOR CONTRIBUTORS

Articles

Original Article

일 상급종합병원 간호사의 파견근무와 직무착근도, 조직몰입, 이직의도에 관한 연구

The Effects of Nurses’ Dispatch Work Characteristics on Job Embeddedness, Organizational Commitment, and Turnover Intention

Journal of Korean Academy of Nursing Administration 2025;31(5):560-571.
Published online: December 31, 2025

1이화여자대학교 박사과정생

2이화여자대학교 간호대학 조교수

1Doctoral Student, Ewha Womans University

2Assistant Professor, College of Nursing, Ewha Womans University

Corresponding author: Gunjeong Lee College of Nursing, Ewha Womans University, Helen Hall 203-4, 52 Ewhayeodae-gil, Seodaemun-gu, Seoul 03760, Korea E-mail: gunjeong@ewha.ac.kr
- 이 논문은 제1저자 정이지의 석사 학위논문의 축약본임.
- This article is a condensed form of the first author's master's thesis from Ewha Womans University.
• Received: June 15, 2025   • Revised: November 24, 2025   • Accepted: November 24, 2025

© 2025 Korean Academy of Nursing Administration

This is an Open Access article distributed under the terms of the Creative Commons Attribution Non-Commercial License (http://creativecommons.org/licenses/by-nc/4.0/) which permits unrestricted non-commercial use, distribution, and reproduction in any medium, provided the original work is properly cited.

  • 601 Views
  • 50 Download
prev next
  • Purpose
    This study examined the effects of dispatch work experience on job embeddedness, organizational commitment, and turnover intention among nurses.
  • Methods
    A cross-sectional survey was conducted among 130 nurses working at a tertiary hospital in Seoul. Data were analyzed using SPSS version 28.0 with descriptive statistics, the independent t-test, one-way analysis of variance, Pearson correlation coefficients, and multiple linear regression.
  • Results
    Overall, 62.3% of participants reported improved competency following dispatch work experience, whereas 80.7% perceived pre-training as insufficient. Nurses with prior interaction with dispatch unit staff demonstrated significantly higher job embeddedness (F=10.37, p=.002) and organizational commitment (F=5.87, p=.017), along with significantly lower turnover intention (F=4.98, p=.027). Multiple regression analysis showed that job embeddedness was positively associated with prior interaction with dispatch unit staff (β=.170, p=.031) and perceiving dispatch operations as appropriate (β=.297, p<.001). Organizational commitment was significantly influenced by the perception of dispatch operations as appropriate (β=.209, p=.013). No dispatch-related factors were significantly associated with turnover intention.
  • Conclusion
    Positive perceptions of dispatch work and prior interaction with dispatch unit staff contribute to job embeddedness and organizational commitment. Improvements such as enhanced pre-interaction opportunities, practice-based training, and consideration of dispatch preferences are needed to optimize dispatch work experiences.
1. 연구의 필요성
병원 내 간호 인력은 환자 안전과 의료 서비스의 질을 유지하는 핵심 요소이며, 적정 인력 확보는 안전하고 전문성 있는 간호 제공의 필수 조건이다[1]. 이를 위해 근무 환경 개선과 함께 유연한 인력 배치 전략이 필요하며, 이에 따라 국내 많은 병원에서 ‘파견근무’ 제도를 운영하고 있다[2]. 파견근무는 인력이 부족한 부서에 일정 기간 간호사를 배치하는 방식으로 인력 운영의 효율성을 높인다[3]. 특히 메르스(Middle East Respiratory Syndrome [MERS])와 coronavirus disease 2019 (COVID-19) 유행 시기에는 감염병 전담병동과 일반 병동 간 유동적 인력 배치가 가능해지며 활용이 확대되었다[4,5].
직무착근도는 조직 구성원이 직장에 머무르는 이유를 설명하는 개념으로, 간호사가 병원에 남게 하는 요인을 이해하고[6] 인적자원 관리 전략을 수립하는 기초 자료로 활용될 수 있다[7]. 직무착근도의 주요 영향 요인으로는 근무환경, 동료 관계, 직무 자율성 등이 보고되었다[8,9]. 선행 연구에 따르면, 부서 재배치를 경험한 간호사는 낯선 환경과 새로운 관계 형성의 어려움을 겪으며 직무착근도가 낮아질 수 있으나[10], 다양한 부서 경험은 개인 역량과 자신감을 높여 잔류 의사를 강화하고 업무 기술의 폭을 넓혀 직무착근도를 높인다는 결과도 보고되었다[11]. 이러한 경향은 낯선 환경에 적응해야 하는 파견근무 상황에서도 유사하게 나타날 수 있으며, 파견근무는 간호사의 전문성을 확장해 착근도를 높일 수 있는 제도임과 동시에 새로운 환경 적응에 대한 부담이나 동료 관계 단절 등 부정적으로 작용할 수 있음을 시사한다.
조직몰입은 구성원이 조직의 목표와 가치를 내면화하고 헌신하는 심리적 일체감으로[12], 근무환경, 조직문화, 대인관계, 직무만족도 등에 의해 영향을 받는다[13]. 간호사의 조직몰입은 의료서비스의 질, 직무성과 및 이직과 밀접히 관련되며, Straw [14]는 부서 이동이 소속감을 약화시켜 몰입 저하로 이어질 수 있다고 하였다. 그러나 Alfuqaha 등[15]는 다양한 임상경험이 직무만족과 조직몰입을 높인다고 보고하여, 파견근무가 소속감 약화의 부정적 측면과 함께 임상역량 강화라는 긍정적 효과를 동시에 가질 수 있음을 시사한다.
이직의도는 조직을 떠나려는 경향으로, 직무만족도와 근무환경 인식의 결과를 반영한다[16]. 이는 근무환경, 동료 관계, 몰입 수준 등에 영향을 받으며[17,18], 낮은 몰입은 이직의도를 높인다. 인력 부족이 심화된 의료현장에서 이직의도는 병원 운영과 환자 안전에 직접적인 영향을 미치는 핵심 지표이다[19]. Czaplinski [20]는 반복된 부서 이동이 이직을 유발하는 요인이 될 수 있다고 보고한 반면, Zhao 등[21]은 다양한 임상경험이 직무만족을 증진시키며, 궁극적으로 이직의도 감소로 이어질 가능성을 시사하였다. 이러한 점에서 파견근무는 조직 지원 수준에 따라 이직의도를 높이거나 완화할 수 있는 양면적 특성을 지닌다고 볼 수 있다.
국외의 간호 인력 운영 사례를 보면, 병원 내부 인력 순환뿐 아니라 외부 전문 인력 플랫폼을 활용하는 등 다각적인 체계를 갖추고 있다. 예를 들어, 미국에는 고정 부서 없이 여러 부서를 순환하는 float nurse, 외부 업체를 통한 단기 계약의 travel nurse, 제한된 시간에 근무하는 part-time nurse 제도가 있으며[22,23], 이를 통해 부서 및 병원 간 인력 공백에 유연하게 대응하고 있다. 또한 근무지 이동 시 간호사가 전문성을 유지하고 안정적으로 업무를 수행할 수 있도록 표준화된 지원 시스템이 마련되어 있어 근무 만족도를 높이는 데 기여한다[24]. 최근 미국의 간호 인력 운영을 분석한 연구에서는 이러한 체계가 인력의 효율적 배치뿐 아니라 환자 안전 향상에도 긍정적 영향을 미친다고 보고되었다[25]. 이러한 국외 사례들에 비해, 한국은 외부 인력 플랫폼 활용이 미흡하고 병원 간 인력 운영의 표준화도 부족한 상황으로[26], 파견근무가 현실적인 인력 운영 대안이자 병원 운영을 보완하는 중요한 제도로 기능하고 있다.
따라서 파견근무 간호사의 실태를 면밀히 파악하고, 이들을 효과적으로 관리•지원할 수 있는 체계 마련이 시급하다. 이에 본 연구는 상급종합병원 간호사의 파견근무 실태를 조사하고, 그 특성이 직무착근도, 조직몰입, 이직의도에 미치는 영향을 실증적으로 분석함으로써, 파견근무 운영의 실효성을 제고하기 위한 개선 방향을 도출하고자 한다.
2. 연구 목적
본 연구의 목적은 일 상급종합병원 간호사의 파견근무 경험을 파악하고, 그에 따른 직무착근도, 조직몰입 및 이직의도를 파악하는 것으로 구체적인 목적은 다음과 같다.
• 일반적 특성 및 파견근무 특성을 파악한다.
• 직무착근도, 조직몰입, 이직의도를 파악하고 각 변수 간의 상관관계를 분석한다.
• 일반적 특성 및 파견근무 특성에 따른 직무착근도, 조직몰입, 이직의도의 차이를 분석한다.
• 일반적 특성 및 파견근무 특성이 직무착근도, 조직몰입, 이직의도에 미치는 영향을 확인한다.
1. 연구 설계
본 연구는 일 상급종합병원 간호사를 대상으로 파견근무 실태와 경험을 파악하고, 파견근무 특성에 따른 직무착근도, 조직몰입, 이직의도의 차이를 분석하여 파견근무 제도 개선에 필요한 기초자료를 제시하고자 하는 서술적 조사연구이다. 연구가 수행된 기관은 약 2,000병상 규모의 3차 의료기관으로, 간호인력은 약 3,200명 수준이며, 여러 간호단위 부서 중 15개 부서를 대상으로 설문조사가 이루어졌다.
2. 연구 대상
G*Power 3.1.9.7 프로그램(Heinrich-Heine-Universität Düsseldorf)을 이용하여 다중회귀분석에 필요한 최소 표본수를 산출한 결과, 유의수준 .05, 검정력 .80, 중간 수준의 효과크기 .15, 예측 변인 10개를 기준으로 118명이 필요하였다. 이에 탈락률 약 10%를 고려해 130명을 모집하였으며, 모든 응답이 유효하여 분석에 포함되었다. 본 연구는 파견근무 경험이 간호사의 직무착근도, 조직몰입, 이직의도에 미치는 영향을 규명하고자 하였으며, 2년 이내 파견근무 경험이 없는 간호사는 제외하였다. 또한 파견 후 근무지를 변경하여 타 부서로 전보된 간호사는 원 소속 부서와의 조직적 연속성이 단절되어 직무착근도 및 조직몰입 수준을 동일 맥락에서 해석하기 어렵다고 판단하여 제외하였다. 따라서 본 연구는 파견근무 후 원 부서로 복귀한 간호사만을 대상으로 하여, 동일 조직 내 파견 경험이 직무태도에 미치는 영향을 명확히 분석하고자 하였다.
(1) 임상경력 1년 이상인 간호사
(2) 설문지 작성 일자 기준으로 지난 2년 이내에 일정 기간 타 부서로 파견근무 후 근무지 변경 없이 본인이 근무했던 원래 부서로 복귀한 경험이 있거나, 현재 파견근무 수행 중인 간호사
3. 연구 도구
본 연구에서는 총 75문항으로 구성된 구조화된 서면 설문지를 사용하여 자료를 수집하였다. 설문지는 일반적 특성 및 파견근무 특성 37문항, 직무착근도 17문항, 조직몰입 15문항, 이직의도 6문항으로 구성되었다. 본 연구의 도구 사용에 앞서, 해당 도구의 저자로부터 이메일을 통해 사용 허락을 받은 후 연구를 진행하였다

1) 일반적 특성 및 파견근무 특성

본 연구에서의 파견근무는 원내 정규직 간호사가 최근 2년 이내 소속 부서를 유지한 채 일정 기간 타 부서에 임시 배치되어 전일 근무 후 복귀한 경우를 의미한다. 일반적 특성과 파견근무 특성 문항은 선행 연구[27-30]를 참고해 수정•보완하였으며, 간호학 교수 1인과 파견근무 경험이 있는 임상경력 10년 이상 석사 간호사 4인이 내용 타당도와 표현의 명확성을 검토하였다. 의견이 제시된 3개 문항은 수정 후 최종 확정하였으며, 모든 문항이 이해하기 쉬운 것으로 평가되었다. 일반적 특성은 성별, 연령, 직위, 연차 등 10문항, 파견근무 특성은 파견 횟수, 기간, 사전 교육 여부 등 27문항으로 구성하였다.

2) 직무착근도

직무착근도를 측정하기 위해 Mitchell 등[6]이 개발한 Job Embeddedness Questionnaire를 기반으로 Reitz [31]가 재구성한 도구를 Choi와 Lee [32]가 한국 간호사들에게 적합하도록 수정한 도구를 활용하였다. 해당 도구는 조직 적합성, 근무 혜택, 업무팀의 친밀도, 지역사회 적합성의 4개 하부 영역으로 구성되어 있다. 각 문항은 5점 Likert 척도로 평가되며, 점수가 높을수록 직무착근도가 높다는 것을 의미한다. Choi와 Lee [32]의 연구에서 해당 도구의 신뢰도는 Cronbach's α=.86이었으며, 하부요인별 신뢰도는 조직적합성 Cronbach's α=.87, 근무혜택 α=.83, 업무팀의 친밀도 Cronbach's α=.62, 지역사회 적합성 Cronbach's α=.66으로 보고되었다. 본 연구에서 도구의 신뢰도는 Cronbach’s α=.85였으며, 하부요인별로는 조직적합성 Cronbach's α=.88, 근무혜택 Cronbach's α=.67, 업무팀의 친밀도 Cronbach's α=.73, 지역사회 적합성 Cronbach's α=.75로 나타났다.

3) 조직몰입

조직몰입 측정을 위해 Mowday 등[33]이 개발한 Organizational Commitment Questionnaire를 기반으로, Lee [34]가 번안한 측정 도구를 활용하였다. 본 도구는 총 15개 문항으로 조직 애착 6문항, 조직과의 동일시 6문항, 근속유지 3문항 총 3개의 하부요인으로 구성되어 있다. 각 문항은 5점 Likert 척도로 평가되며, 점수가 높을수록 조직에 대한 몰입도가 높다는 것을 의미한다. 편중된 응답을 감소시키기 위해 6문항은 부정문항으로 이루어져 있으며, 의미의 일관성을 위해 역코딩하여 분석하였다. 이 도구의 신뢰도는 개발 당시 Cronbach's α=.94, Lee [34]의 연구에서는 Cronbach's α=.91로 나타났고, 본 연구에서는 Cronbach's α=.86이었다. 본 연구에서 하부요인별 신뢰도는 조직 애착 Cronbach's α=.66, 조직과의 동일시 Cronbach's α=.73이었다. 근속유지의 경우 Cronbach's α=.40으로 다소 낮게 나타났으나, 이는 문항 수가 3개로 적고 문항 간 상관이 상대적으로 낮은 데 기인한 것으로 보인다. 문항 간 상관계수는 .21~.27 수준으로 유의한 정적 관계를 보여, 내적 일관성은 제한적이지만 척도의 하위 구성요소로서 수용 가능한 수준으로 판단하였다[35].

4) 이직의도

이직의도를 평가하기 위해 Mobley (1982)와 Becker (1992)가 고안한 도구를 Kim [36]이 수정 및 보완한 버전을 활용하였다. 도구는 총 6개의 문항으로 구성되어 있으며, 각 문항은 Likert 5점 척도를 사용하여 응답하도록 되어 있다. 4번 문항은 부정문항으로 의미의 일관성을 위해 역코딩하여 분석하였으며, 높은 점수일수록 이직의도가 높음을 의미한다. 도구의 신뢰도는 Kim [36]이 2차 및 3차 의료기관의 일반병동 간호사 대상의 연구에서 Cronbach's α=.76으로 나타났고, 본 연구에서는 Cronbach's α=.72였다.
4. 자료 수집
본 연구는 A 상급종합병원 생명윤리위원회의 승인을 받은 후, 2025년 3월 18일부터 4월 8일까지 자료를 수집하였다. 연구자는 15개 간호 단위를 직접 방문하여 각 부서 책임자에게 연구 목적과 설문 배포 절차를 설명하고, 부서 내 보관함에 설문지•설명서•동의서를 비치하였다. 간호사들은 자율적으로 설문지를 수령•작성 후 동일 장소의 수거함에 회신하였으며, 연구자는 정해진 일정에 따라 이를 수거하였다. 모든 대상자에게 연구 목적, 절차, 개인정보 보호, 자발적 참여에 대해 충분히 안내하였고, 서면 동의서를 제출한 경우에만 설문 참여가 이루어졌다.
5. 자료 분석
본 연구의 수집 자료는 IBM SPSS version 28.0 프로그램(IBM Corp.)을 활용하여 분석하였다. 구체적인 통계 분석법은 다음과 같다.
• 일반적 특성과 파견근무 특성은 빈도분석 및 평균과 표준편차 등 기술 통계로 분석하였다.
• 직무착근도, 조직몰입, 이직의도는 평균과 표준편차 등의 기술통계로 분석하였으며, 직무착근도, 조직몰입, 이직의도 간의 상관관계를 분석하기 위해 피어슨 상관계수(Pearson’s correlation coefficient)를 시행하였다.
• 일반적 특성 및 파견근무 특성에 따른 직무착근도, 조직몰입, 이직의도의 차이는 독립표본 t-검정(independent t-test) 및 일원분산분석(one-way analysis of variance)로 분석하였으며 사후검정은 Scheffe' test를 시행하였다. 변수가 정규분포 하지 않는 경우에는 Mann-Whitney 검정과 Kruskal-Wallis 검정을 사용하였으며, Kruskal–Wallis 검정에서 유의한 경우에는 Dunn–Bonferroni 방법을 이용한 비모수 사후분석을 실시하였다.
• 일반적 특성 및 파견근무 특성이 직무착근도, 조직몰입, 이직의도에 미치는 영향을 확인하기 위해 다중선형회귀분석(multiple linear regression)을 시행하였으며, 회귀분석의 가정 충족 여부를 확인하기 위해 잔차의 정규성, 독립성, 등분산성 및 다중공선성(variance inflation factor [VIF] ≤10)을 검토하였다.
6. 윤리적 고려
본 연구는 A 상급종합병원 생명윤리위원회의 승인(No. 2025-02-127-001)을 받은 후 진행되었다. 설문지 1면에 연구 목적, 참여 조건, 익명성과 비밀 보장, 자발적 참여 및 중단 권리 등을 명시하였으며,. 연구 참여에 대한 서면 동의서를 작성한 경우에만 연구에 참여하도록 하였다. 참여자는 언제든지 중단할 수 있으며, 이에 따른 불이익은 없고 설문 완료 시 소정의 선물을 제공하였다. 수집된 자료는 익명화하여 암호화된 연구자 컴퓨터에 보관하였고, 연구 종료 3년 후 폐기할 예정이다.
1. 일반적 특성 및 파견근무 특성

1) 일반적 특성

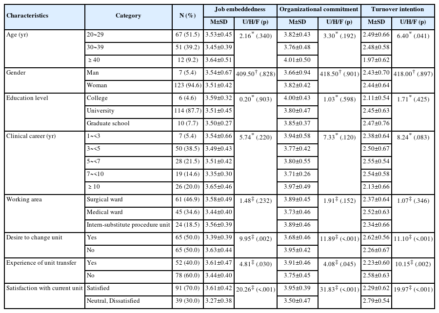
대상자의 연령 분포는 20~29세가 51.5%로 가장 많았으며, 여성(94.6%)이 대부분이었다. 학력은 학사 졸업자가 87.7%로 가장 많았고, 임상경력은 3년 이상 5년 미만이 38.5%로 가장 높았다. 근무 부서는 외과계 병동이 46.9%로 가장 많았으며, 부서이동 희망 여부는 ‘예’와 ‘아니요’가 동일한 비율이었다. 현재 근무 부서에 대한 만족도는 5점 척도로 평가한 결과, ‘만족’ 60.0%, ‘보통’ 26.2%, ‘매우 만족’ 10.0%, ‘불만족’ 3.8% 순으로 나타났다(Table 1).

2) 파견근무 특성

누적 파견 횟수는 1회와 3회가 각각 22.3%(29명)으로 가장 많았으며, 최근 2년 내 평균은 2.14회였다. 파견 경험자 중 52.3%(68명)는 매번 다른 부서에 배치되었고, 첫 파견 시 임상경력은 3년 미만이 59.0%(77명)로 가장 많았다. 최근 2년간 1회당 파견기간은 1개월 미만이 60.0%(78명)였으며, 파견사유는 병원 요청에 의한 비자발적 파견이 69.2%(90명)로 다수를 차지했다. 파견 전 교육을 받은 간호사는 43.8%(57명)에 불과했고, 이 중 80.7%(46명)는 교육이 충분하지 않았다고 응답하였다. 주요 어려움으로는 낯선 환경 적응(88.5%), 익숙하지 않은 업무 프로세스(83.8%), 심리적 부담(78.5%)이었으며, 개선 필요 영역으로 사전 교육 강화(60.0%)가 가장 높았다. 또한 파견근무가 경력개발(69.2%)과 역량강화(62.3%)에 도움이 되었다는 응답이 많았고, 제도 필요성은 52.3%, 사전 교육 필요성은 95.4%로 나타났다(Table 2 and 3).
2. 직무착근도, 조직몰입, 이직의도 간의 상관관계
직무착근도와 조직몰입은 유의한 양의 상관관계가 나타났다(r=.71, p<.001). 반면 직무착근도와 이직의도는 유의한 음의 상관관계가 나타났으며(r=-.48, p<.001), 조직몰입과 이직의도 또한 유의한 음의 상관관계를 보였다(r=-.70, p<.001). 직무착근도와 조직몰입의 하위영역들 간에도 전반적으로 유의한 정적 상관이 확인되었다(Table 4).
3. 일반적 특성, 파견근무 특성에 따른 직무착근도, 조직몰입, 이직의도의 차이
일부 하위집단에서 표본 수가 제한적이고 분포가 정규성을 충족하지 않아, 해당 변수에 대해서는 비모수 검정을 적용하였다. 일반적 특성에 따른 직무착근도, 조직몰입, 이직의도의 차이는 다음과 같다. 직무착근도는 부서이동 희망 여부(F=9.95, p=.002), 이동 경험 여부(F=4.81, p=.030), 현 부서 만족도(F=20.26, p<.001)에 따라 유의한 차이를 보였다. 부서이동을 희망하는 간호사는 그렇지 않은 간호사보다 직무착근도가 낮았고, 이동 경험이 있는 경우가 없는 경우보다 높았다. 또한, 현 부서에 만족하는 경우 직무착근도가 유의하게 높았다. 조직몰입은 부서이동 희망 여부(F=11.89, p<.001), 이동 경험 여부(F=4.08, p=.045), 부서 만족도(F=31.83, p<.001)에 따라서는 유의한 차이가 나타났다. 이동 희망 시 조직몰입은 낮았으며, 이동 경험이 있는 간호사와 부서 만족도가 높은 간호사에서 조직몰입이 유의하게 높았다. 이직의도는 연령(H=6.40, p=.041), 부서이동 희망 여부(F=11.10, p<.001), 이동 경험 여부(F=10.15, p=.002), 부서 만족도(F=19.97, p<.001)에 따라 유의한 차이를 보였다. 부서 이동을 희망하는 간호사는 이직의도가 유의하게 높았으며, 부서 이동 경험이 있는 경우와 현 부서에 대한 만족도가 높은 경우에는 이직의도가 낮게 나타났다(Table 1).
파견근무 특성에 따른 직무착근도, 조직몰입, 이직의도의 차이는 다음과 같다. 직무착근도는 파견 전 교류 여부(F=10.37, p=.002), 향후 파견 참여 의사(F=4.16, p=.044), 간호 역량 강화 인식(F=6.35, p=.013), 파견 필요성 인식(F=4.65, p=.033), 운영방식 적절성 인식(F=14.37, p<.001)에 따라 유의한 차이가 나타났다. 구체적으로 사전 교류 경험자, 향후 참여 의사가 있는 대상자, 파견을 통해 역량이 강화되었다고 인식한 대상자, 필요성을 느낀 대상자, 운영방식을 적절하다고 본 대상자가 각각 직무착근도가 더 높았다. 조직몰입은 최근 2년 내 파견 횟수(F=3.04, p=.031), 파견 전 교류 여부(F=5.87, p=.017), 향후 참여 의사(F=4.83, p=.030), 파견 필요성 인식(F=5.49, p=.021), 운영방식 적절성 인식(F=7.40, p=.007)에 따라 유의한 차이가 나타났다. 특히 4회 파견 경험자는 2회 경험자보다 조직몰입이 높았고, 교류 경험자, 참여 의사가 있는 대상자, 필요성과 적절성을 인식한 대상자 역시 조직몰입이 높았다. 이직의도는 대부분의 변수에서 유의한 차이를 보이지 않았으나, 파견 전 교류 여부(F=4.98, p=.027)에서는 유의한 차이가 있었고, 사전 교류 경험자에서 이직의도가 유의하게 낮았다(Table 2).
4. 직무착근도, 조직몰입, 이직의도에 영향을 미치는 요인
직무착근도, 조직몰입, 이직의도에 영향을 미치는 파견근무 관련 요인을 확인하기 위해 다중선형회귀분석을 실시하였다. 독립변수로는 직무착근도, 조직몰입, 이직의도 중 하나 이상에서 통계적으로 유의한 차이를 보인 총 10개의 요인을 중심으로, 선행 연구에서 간호사의 이직의도가 개인적 요인과 조직적 요인의 복합적인 영향을 받는 것으로 보고된 분석 접근을 반영하여 회귀모형에 동시에 투입하였다[37].
일반적 특성으로는 이직의도에 영향을 미칠 수 있다고 판단된 ‘연령’과 더불어, 세 종속변수 모두에서 유의한 차이를 보인 ‘부서이동 희망 여부,’ ‘부서이동 경험 여부,’ ‘현 부서 만족도’는 더미변수로 변환하여 분석에 포함하였다. 파견근무 관련 특성 중에서는‘최근 2년 이내 파견 횟수,’ ‘파견 전 파견부서원과의 교류 여부,' ‘향후 파견근무 참여 의사,’ ‘파견근무를 통한 역량 강화에 대한 인식,’ ‘파견근무 필요성에 대한 인식,’ ‘파견근무 운영방식의 적절성’이 유의한 차이를 보여, 모두 더미변수로 처리하여 투입하였다.
직무착근도, 조직몰입, 이직의도에 대한 회귀모형의 결과, 잔차의 정규성은 P–P Plot에서 점들이 대각선에 근접하여 정규성을 충족하였으며, 표준화 예측값과 잔차 간의 산점도에서 선형성과 등분산성이 확인되었다. 각각의 Durbin–Watson 통계량은 1.866, 1.673, 1.698로 오차의 독립성 가정이 충족되었고, 다중공선성 검정 결과 공차한계(tolerance)는 0.797~0.918로 0.1 이상이었으며, 분산팽창지수(VIF)는 1.089~1.273으로 모두 10 이하로 나타나 다중공선성의 문제는 없었다. 직무착근도에 대한 회귀모형의 설명력은 29.6%로 확인되었으며 회귀식은 통계적으로 유의하였다(F=6.417, p<.001). 직무착근도에 유의한 영향을 준 현 부서 관련 요인으로는 부서이동 희망 여부(유) (β=–.230, p=.005), 현 부서 만족도(만족함) (β=.209, p=.013)였으며, 파견근무 관련 요인으로는 사전 교류 경험 여부(유) (β=.170, p=.031), 운영방식 적절성 여부(적절함) (β=.297, p<.001)으로 나타났다. 조직몰입에 대한 회귀 모형의 설명력은 29.2%였으며, 통계적으로 유의하였다(F=6.330, p<.001). 조직몰입에 유의한 영향을 준 현 부서 관련 요인으로는 부서이동 희망 여부(유) (β=–.222, p=.007), 현 부서 만족도(만족함) (β=.295, p<.001)였으며, 파견근무 관련 요인으로는 운영방식 적절성 여부(적절함) (β=.209, p=.013)으로 확인되었다. 이직의도에 대한 회귀모형의 설명력은 22.1%로 확인되었으며, 전체 회귀식은 통계적으로 유의하였다(F=4.656, p<.001). 이직의도에 유의한 영향을 준 현 부서 관련 요인으로는 부서이동 희망 여부(유) (β=.218, p=.011), 현 부서 만족도(만족함) (β=-.205, p=.020)로 나타났으며, 파견근무 관련 요인 중 유의한 영향을 준 요인은 없었다(Table 5).
본 연구는 간호사의 파견근무 특성이 직무착근도, 조직몰입, 이직의도에 미치는 영향을 실증적으로 분석하고, 파견근무 운영의 개선 방향을 제시하고자 하였다. 파견근무 특성의 경우, 파견 간호사의 59.0%가 임상경력 3년 미만으로 경력 초기 간호사의 비중이 높았으며, 이는 일정 경력 이상의 간호사가 주로 파견된다는 기존 연구[28]와 상반된다. 파견 기간은 1개월 이상이 40.0%였고, 대부분 다양한 부서로 배치되었으며 일반병동이 가장 많았다. 이는 일반병동의 높은 파견 수요를 보고한 기존 연구와 일치한다[28]. 이러한 결과는 인력 운영의 유연성을 높이지만, 경험이 부족한 간호사가 낯선 환경에서 업무를 수행해야 함을 의미해 조직 차원의 지원이 필요함을 시사한다[38]. 사전 교육과 관련해 55.4%는 교육을 받지 못했고, 교육을 받은 간호사 중 80.7%는 교육이 충분하지 않다고 응답했으며, 가장 큰 어려움은 ‘업무 프로세스’로 나타났다(51.5%). 이는 실무 중심의 사전 교육 강화 필요성을 보여주며[39], 사전 교육과 오리엔테이션의 질이 직무 만족과 이직의도에 영향을 미친다는 선행 연구[40]와 일치한다. 또한 69.2%가 병원 요청에 따라 비자발적으로 파견된 것으로 나타났으며, 이는 관리자 중심의 인사 운영을 반영하는 결과로 사기 저하와 부정적 정서를 유발할 수 있다[28]. 그럼에도 과반수 이상이 파견이 인력 운영상 필요하며 역량 강화에 도움이 되었다고 응답해, 파견근무가 단순한 인력 보충이 아닌 전문성 향상 제도로 기능함을 보여준다[10,14]. 이는 조직과 개인의 성장을 유도한다는 조직설계이론[41]과도 맥을 같이한다. 아울러 재파견 의사를 밝힌 간호사가 54.6%에 달해, 모든 간호사가 파견을 기피하는 것은 아니며 향후 자발적 참여와 희망 부서•시기를 반영한 유연한 배치 전략이 필요함을 시사한다.
본 연구에서는 간호사의 소속 부서에 대한 태도와 내부 이동 경험이 직무착근도, 조직몰입, 이직의도와 유의한 관련이 있는 것으로 나타났다. 부서 이동을 희망하는 간호사는 직무착근도와 조직몰입 수준이 낮고 이직의도는 높게 나타났으며, 이는 조직에 대한 애착이 약한 간호사가 이직을 고려할 가능성이 높다는 기존 연구[42]와 일치한다. 일부 연구에서는 부서 이동이 조직 몰입과 적응에 긍정적 영향을 미칠 수 있다고 보고한 반면[43], 이동 경험이 없는 간호사의 직무만족이 더 높았다는 결과도 있다[44]. 본 연구에서는 실제 이동을 경험한 간호사가 그렇지 않은 간호사보다 직무착근도와 조직몰입이 높게 나타나, 이동이 직무 불안정보다 적응력과 조직 만족을 향상시킬 수 있음을 시사한다. 또한 현 부서에 만족하는 간호사는 직무착근도와 조직몰입이 높고 이직의도는 낮았으며, 이는 직무만족이 조직몰입과 이직의도를 결정하는 핵심 요인임을 보여주는 선행 연구와 일치한다[45]. 따라서 부서 만족도가 낮거나 이동을 희망하는 간호사에게 파견근무 기회를 제공하는 것은 새로운 임상 경험을 통해 적성과 역량을 탐색하도록 돕고, 간호사에게는 경력 개발의 기회를, 조직에는 효율적 인력 운영과 이직률 감소를 기대할 수 있는 상호 유익한 전략이 될 것으로 기대된다.
본 연구의 핵심 결과는 파견 전 파견부서원과의 사전 교류 여부가 간호사의 직무착근도와 조직몰입에 유의한 차이를 보였다는 점이다. 사전 교류가 있었던 간호사는 그렇지 않은 경우보다 직무착근도와 조직몰입이 높게 나타났으며, 이는 낯선 환경에 적응해야 하는 파견 상황에서 사전 상호작용이 심리적 부담을 완화하고 소속감 및 안정적 업무 수행에 도움을 준다는 점을 시사한다. 이러한 결과는 사회적 유대감이 착근도에 기여한다는 기존 연구[17,43]와 상호작용이 몰입에 영향을 미친다는 선행 연구[46]를 지지한다. 또한 파견근무의 필요성을 인식하거나 향후 재참여 의사가 있는 간호사에서 직무착근도와 조직몰입 수준이 높게 나타났는데, 이는 파견근무를 의미 있는 조직 활동으로 인식할수록 몰입이 강화된다는 기존 연구 및 자기결정이론[47]과도 일치한다. 더불어 파견근무를 통해 역량이 강화되었다고 인식한 간호사 역시 직무착근도가 높았으며, 이는 다양한 과업 경험이 착근도를 높인다는 Zhang 등[11]의 결과와 유사하다. 이러한 맥락은 Kallerhult Hermansson 등[48]와 Gibbs [49]의 연구에서도 동일하게 보고된 바 있다. 한편, 파견근무 운영방식이 적절하다고 인식한 간호사에서 직무착근도와 조직몰입 수준이 유의하게 높았는데, 이는 운영 체계에 대한 신뢰가 정서적 몰입을 높인다는 기존 연구[50]와 맥락을 같이한다.
이상의 논의를 종합하면, 파견근무 제도는 간호사의 역량 강화와 조직의 인력 운영 유연성 확보 측면에서 긍정적 가능성을 보였다. 다수의 간호사들이 파견을 통해 다양한 업무 경험과 실무 능력 향상을 보고하였고, 일부는 재참여 의사를 보여 제도에 대한 인식이 전적으로 부정적이지 않음을 확인하였다. 또한 파견근무를 긍정적으로 인식하거나 이를 통해 역량이 강화되었다고 응답한 간호사일수록 직무착근도와 조직몰입 수준이 높아, 긍정적 경험이 정서적 유대 형성에 기여함을 보여준다. 따라서 파견근무를 단순한 인력 보충이 아닌 간호사의 성장과 적응을 돕는 제도로 운영하기 위해 자발적 참여를 유도하고 체계적 지원을 강화할 필요가 있다.
국외에서는 간호사가 근무지와 일정을 자율적으로 선택하며 다양한 부서를 순환하는 float nurse, travel nurse 등의 제도가 정착되어 있고, 근무 전 충분한 교육과 오리엔테이션을 제공받는다. 반면 국내 파견근무는 간호사가 고유 부서를 유지한 채 일시적으로 지원하는 형태로, 자율성과 교육 기회가 제한적인 경우가 많다. 특히 임상 경험이 부족한 간호사가 사전 교육 없이 투입될 경우 부담이 크며, 대부분이 비자발적 파견으로 직무 만족과 조직몰입에 부정적 영향을 줄 수 있다. 따라서 파견근무의 실질적 효과를 높이기 위해서는 실무 중심의 사전 교육 강화, 파견 부서원과의 교류 기회 확대, 참여 의사와 희망 부서를 반영한 배치가 필요하다. 또한 파견근무를 간호사의 경력 개발과 성장을 지원하는 제도로 인식하고, 교육•적응•자율성을 포괄하는 운영 전략으로의 개선이 요구된다.
본 연구는 다음과 같은 제한점을 가진다. 첫째, 서울시 소재 단일 기관에서 수행되어 결과의 일반화에 한계가 있다. 둘째, 양적 설문조사로 진행되어 파견근무 과정에서의 심리적•관계적 경험을 충분히 반영하지 못하였다. 셋째, 변수 간 영향력 분석에 초점을 두었기 때문에 제도적 개입의 구체적 효과나 인과관계 검증에는 한계가 있다. 향후 연구에서는 다양한 기관과 시점을 포함한 종단적 연구와 질적 접근을 병행하여 파견근무 제도의 효과를 심층적으로 탐색할 필요가 있다.
본 연구는 간호사의 파견근무 실태를 조사하고, 관련 특성이 직무착근도, 조직몰입, 이직의도에 미치는 영향을 분석하여 효과적인 운영 방안을 모색하고자 하였다. 분석 결과, 파견 간호사의 과반수가 임상경력 3년 미만이었으며, 대부분 병원 요청에 따른 비자발적 결정으로 파견되었고 사전 교육 없이 현장에 투입되는 경우가 많았다. 특히 업무 프로세스에 대한 정보 부족이 가장 큰 어려움으로 지적되어 실무 중심의 사전 교육 강화가 필요함을 시사하였다. 그럼에도 다수의 간호사들은 파견 경험이 임상역량과 경력 개발에 도움이 되었다고 인식하였고, 일부는 재참여 의사를 보이는 등 제도에 대해 긍정적인 태도를 나타냈다. 또한 파견 전 부서원과의 교류 경험이 있거나 자발적 참여 의사가 있는 경우 직무착근도와 조직몰입 수준이 높게 나타나, 파견근무의 수용 정도가 조직 적응에 긍정적 영향을 미칠 수 있음을 보여주었다. 따라서 파견근무는 단순한 인력 보충이 아니라 간호사의 역량 강화와 조직 유대감 형성을 위한 전략적 제도로 운영될 필요가 있으며, 자발적 참여 유도와 실질적 사전 교육, 교류 기회를 포함한 체계적 제도 설계가 요구된다. 향후에는 병원 규모와 조직문화의 차이를 반영한 다기관 연구 및 질적 접근을 병행하고, 사전 교류나 파견지 선택 제도 등 제도적 개입이 직무착근도와 조직몰입에 미치는 효과를 실증적으로 검증하는 연구가 필요하다.

Author contributions

Conceptualization: EJ, GL. Methodology: EJ, GL. Formal analysis: EJ, GL. Data curation: EJ. Writing - original draft: EJ. Writing - review & editing: EJ, GL. All authors read and agreed to the published version of the manuscript.

Conflict of interest

None.

Funding

None.

Data availability

Please contact the corresponding author for data availability.

Acknowledgments

None.

Table 1.
Difference of Job Embeddedness, Organizational Commitment, and Turnover Intention According to General Characteristics (N=130)
Characteristics Category n (%) Job embeddedness Organizational commitment Turnover intention
M±SD U/H/F (p) M±SD U/H/F (p) M±SD U/H/F (p)
Age (yr) 20~29 67 (51.5) 3.53±0.45 2.16* (.340) 3.82±0.43 3.30* (.192) 2.49±0.66 6.40* (.041)
30~39 51 (39.2) 3.45±0.39 3.76±0.48 2.48±0.58
≥40 12 (9.2) 3.64±0.51 4.01±0.50 1.97±0.62
Gender Man 7 (5.4) 3.54±0.67 409.50 (.828) 3.66±0.94 418.50 (.901) 2.43±0.70 418.00 (.897)
Woman 123 (94.6) 3.51±0.42 3.82±0.42 2.44±0.64
Education level College 6 (4.6) 3.59±0.32 0.20* (.903) 4.00±0.43 1.03* (.598) 2.11±0.54 1.71* (.425)
University 114 (87.7) 3.51±0.45 3.80±0.47 2.45±0.63
Graduate school 10 (7.7) 3.50±0.27 3.85±0.37 2.47±0.76
Clinical career (yr) 1~<3 7 (5.4) 3.54±0.66 5.74* (.220) 3.94±0.58 7.33* (.120) 2.38±0.64 8.24* (.083)
3~<5 50 (38.5) 3.49±0.43 3.77±0.42 2.50±0.67
5~<7 28 (21.5) 3.51±0.42 3.80±0.55 2.55±0.54
7~<10 19 (14.6) 3.35±0.30 3.71±0.26 2.54±0.58
≥10 26 (20.0) 3.65±0.46 3.97±0.49 2.13±0.66
Working area Surgical ward 61 (46.9) 3.58±0.49 1.48 (.232) 3.89±0.45 1.91 (.152) 2.37±0.64 1.07 (.346)
Medical ward 45 (34.6) 3.44±0.40 3.73±0.46 2.52±0.63
Intern-substitute procedure unit 24 (18.5) 3.56±0.39 3.89±0.46 2.34±0.66
Desire to change unit Yes 65 (50.0) 3.39±0.39 9.95 (.002) 3.68±0.46 11.89 (<.001) 2.62±0.56 11.10 (<.001)
No 65 (50.0) 3.63±0.44 3.95±0.42 2.26±0.67
Experience of unit transfer Yes 52 (40.0) 3.61±0.47 4.81 (.030) 3.91±0.46 4.08 (.045) 2.23±0.60 10.15 (.002)
No 78 (60.0) 3.44±0.40 3.75±0.45 2.58±0.63
Satisfaction with current unit Satisfied 91 (70.0) 3.61±0.42 20.26 (<.001) 3.95±0.39 31.83 (<.001) 2.29±0.62 19.97 (<.001)
Neutral, dissatisfied 39 (30.0) 3.27±0.38 3.50±0.47 2.79±0.54

Intern-substitute procedure unit: This unit was established to compensate for the shortage of interns due to the resident strike. Nurses who completed training for intern-level procedures were assigned to perform those procedures.

M=mean; SD=standard deviation.

*Kruskal-Wallis test;

Mann-Whitney U-test;

One-way analysis of variance.

Table 2.
Differences in Job Embeddedness, Organizational Commitment, and Turnover Intention According to Characteristics of Dispatch Work
Characteristics Category n(%) Job embeddedness Organizational commitment Turnover intention
M±SD U/H/F (p) M±SD U/H/F (p) M±SD U/H/F (p)
Total number of dispatches (times) 1 29 (22.3) 3.51±0.52 0.77* (.942) 3.82±0.47 0.99* (.912) 2.55±0.60 1.20* (.879)
2 16 (12.3) 3.59±0.43 3.74±0.45 2.46±0.59
3 29 (22.3) 3.46±0.39 3.86±0.43 2.37±0.51
4 27 (20.8) 3.53±.032 3.87±0.33 2.39±0.68
≥5 29 (22.3) 3.51±0.50 3.75±0.58 2.43±0.78
Number of dispatches in the past 2 years (times) 1a 54 (41.5) 3.52±0.47 1.58* (.197) 3.84±0.44a 3.04 (.031) d>b 2.48±0.61 2.44 (.068)
2b 28 (21.5) 3.38±0.43 3.61±0.53b 2.65±0.57
3c 24 (18.5) 3.51±0.31 3.85±0.39c 2.32±0.69
4d 24 (18.5) 3.63±0.45 3.97±0.40d 2.22±0.67
M±SD 2.14±1.15
Reason for dispatch Involuntary, by request 90 (69.2) 3.51±0.43 0.08* (.961) 3.81±0.45 2.02* (.364) 2.47±0.62 4.16* (.125)
Voluntary, by request 33 (25.4) 3.52±0.48 3.81±0.45 2.46±0.64
Self-initiated 7 (5.4) 3.51±0.33 4.00±0.63 1.90±0.71
Clinical experience at the time of first dispatch (yr) <3 77 (59.0) 3.53±0.43 0.48* (.785) 3.79±0.40 1.62* (.446) 2.51±0.65 3.78* (.151)
3~<5 40 (30.8) 3.48±0.46 3.84±0.56 2.38±0.66
5~<7 3 (2.3) 3.67±0.29 3.93±0.53 2.50±.060
≥7 10 (7.7) 3.45±0.43 3.84±0.48 2.15±.045
Average duration of dispatches over the past 2 years (mo) <1 78 (60.0) 3.50±0.43 1.57 (.212) 3.79±0.43 0.30 (.740) 2.52±0.67 1.83 (.165)
1~<3 27 (20.8) 3.43±0.41 3.81±0.43 2.39±0.56
≥3 25 (19.2) 3.64±0.45 3.88±0.57 2.25±0.60
Reassigned to the same dispatch unit Yes 8 (6.1) 3.51±0.31 0.44* (.804) 3.81±0.47 0.10* (.954) 2.52±0.96 0.36* (.836)
No 68 (52.3) 3.50±0.43 3.80±0.48 2.39±0.62
Not applicable 54 (41.5) 3.52±0.47 3.84±0.44 2.48±0.61
Most recent dispatch unit GW>GW 61 (46.9) 3.50±0.45 0.06* (.996) 3.80±0.44 0.24* (.972) 2.46±0.65 0.66* (.883)
GW>SU 45 (34.6) 3.51±0.34 3.83±0.48 2.44±0.62
GW>OPD 22 (16.9) 3.53±0.52 3.84±0.46 2.38±0.64
Specialty unit>SU/GW 2 (1.6) 3.56±1.12 3.67±1.04 2.17±0.94
Pre-dispatch training received Yes 57 (43.8) 3.57±0.40 1.86 (.175) 3.86±0.47 1.20 (.275) 2.39±0.66 0.54 (.463)
No 72 (55.4) 3.46±0.46 3.78±0.45 2.47±0.62
Interaction with staff before dispatch Yes 25(19.2) 3.75±0.53 10.37 (.002) 4.01±0.44 5.87 (.017) 2.19±0.60 4.98 (.027)
No 105(80.8) 3.45±0.39 3.77±0.45 2.50±0.63
Sufficiency of pre-dispatch training (n=57)§ Sufficient 11(19.3) 3.65±0.44 334.50 3.85±0.50 360.50 2.39±0.71 307.00
Neutral, insufficient 46(80.7) 3.55±0.39 3.87±0.47 2.39±0.66
Willingness to participate again Yes 71(54.6) 3.58±0.43 4.16 (.044) 3.89±0.47 4.83 (.030) 2.36±0.62 2.16 (.144)
No 59(45.4) 3.43±0.43 3.72±0.44 2.53±0.65
Helpfulness for career development Helpful 90(69.2) 3.55±0.41 2.64 (.107) 3.85±0.45 1.52 (.220) 2.41±0.65 0.61 (.436)
Neutral, not helpful 40(30.8) 3.42±0.48 3.74±0.48 2.50±0.60
Helpfulness for competency enhancement Enhanced 81(62.3) 3.58±0.43 6.35 (.013) 3.87±0.47 2.92 (.090) 2.38±0.67 1.91 (.170)
Neutral, not enhanced 49(37.7) 3.39±0.41 3.73±0.43 2.54±0.58
Perceived necessity of dispatch work Necessary 68(52.3) 3.59±0.41 4.65 (.033) 3.90±0.47 5.49 (.021) 2.43±0.66 0.02 (.895)
Neutral, unnecessary 62(47.7) 3.43±0.45 3.72±0.43 2.45±0.61
Appropriateness of current dispatch system Appropriate 26(20.0) 3.79±0.42 14.37 (<.001) 4.03±0.42 7.40 (.007) 2.33±0.71 0.88 (.349)
Neutral, inappropriate 104(80.0) 3.44±0.41 3.76±0.45 2.46±0.62
Necessity of pre-dispatch training Necessary 124(95.4) 3.51±0.42 218.50 (.484) 3.81±0.45 248.50 (.927) 2.45±0.63 228.50 (.618)
Neutral, unnecessary 6(4.6) 3.56±0.68 3.83±0.61 2.25±0.82

M=mean; SD=standard deviation; GW=general ward; SU=specialty unit; OPD=outpatient department.

*Kruskal-Wallis test;

One-way analysis of variance.

Mann-Whitney U-test;

§(n=57): analysis limited to participants who completed pre-dispatch training.

Table 3.
Dispatch Work Characteristics (N=130)
Characteristics Category n (%)
Areas of pre-training needed (n=25) Work processes 18 (72.0)
Request procedures and collaboration system 3 (12.0)
Emergency response 3 (12.0)
Use of medical devices and equipment 1 (4.0)
Difficulties experienced during dispatch work (multiple responses) Adaptation to facility/structural environment 115 (88.5)
Adaptation to unfamiliar work processes 109 (83.8)
Psychological burden 102 (78.5)
Interpersonal relationships 39 (30.0)
Increased workload intensity 14 (10.8)
Most difficult aspect during dispatch work Adaptation to unfamiliar work processes 67 (51.5)
Adaptation to facility/structural environment 29 (22.3)
Psychological burden 29 (22.3)
Interpersonal relationships 5 (3.8)
Increased workload intensity 0
Suggested improvements for dispatch work operation Strengthening of pre-dispatch training 78 (60.0)
Reducing the workload 27 (20.8)
Considering personal preferences in assignments 23 (17.7)
Prior notification of task requirements 1 (0.8)
Improving communication with receiving unit staff 1 (0.8)
Raising the minimum required years of clinical experience for dispatch 0
Table 4.
Correlations among Job Embeddedness, Organizational Commitment, and Turnover Intention (N=130)
Variable Job embeddedness Organizational commitment Turnover intention
r (p) r (p) r (p)
Job embeddedness 1 .71(<.001) -.48(<.001)
 Organizational fit .85 (<.001) .78 (<.001) -.56 (<.001)
 Benefits .71 (<.001) .45 (<.001) -.28 (<.001)
 Coworker links .51 (<.001) .16 (.075) -.08 (<.001)
 Community fit .67 (<.001) .41 (<.001) -.27 (.002)
Organizational commitment .71 (<.001) 1 -.70 (<.001)
 Affective commitment .56 (<.001) .90 (<.001) -.70 (<.001)
 Identification .68 (<.001) .85 (<.001) -.52 (<.001)
 Intent to remain .58 (<.001) .80 (<.001) -.55 (<.001)
Turnover intention -.48 (<.001) -.70 (<.001) 1
Table 5.
Factors Influencing Job Embeddedness, Organizational Commitment, and Turnover Intention (N=130)
Variable Job embeddedness Organizational commitment Turnover intention
B β t p B β t p B β t p
(Constant) 3.220 21.280 <.001* 3.565 22.253 <.001* 2.524 10.810 <.001*
Age <40 yr (ref=≥40) -0.010 -.007 -0.085 .932 -0.095 -.060 -0.732 .466 0.286 .130 1.511 .134
Desire to change unit (ref=No) -0.199 -.230 -2.869 .005* -0.203 -.222 -2.768 .007* 0.277 .218 2.589 .011*
Unit transfer experience (ref=No) 0.135 .153 1.844 .068 0.095 .102 1.230 .221 -0.216 -.167 -1.915 .058
Satisfaction with current unit (ref=Neutral/Dissatisfied) 0.197 .209 2.519 .013* 0.294 .295 3.549 <.001* -0.285 -.205 -2.360 .020*
Dispatch frequency (past 2 years) (ref=<3 times) 0.053 .059 0.764 .447 -0.086 -.090 1.170 .244 -0.168 -.128 -1.578 .117
Pre-dispatch communication (ref=No) 0.187 .170 2.188 .031* 0.132 .114 1.459 .147 -0.143 -.089 -1.880 .279
Willingness for future dispatch (ref=No) 0.053 .061 0.767 .445 0.091 .099 1.231 .221 -0.107 -.084 -0.993 .323
Competency improved after dispatch (ref=No/Neutral) 0.049 .054 0.652 .516 -0.025 -.026 -0.317 .752 -0.066 -.050 -0.574 .567
Dispatch perceived necessary (ref=No/Neutral) 0.053 .062 0.751 .454 0.104 .114 1.383 .169 0.047 .037 0.424 .673
Dispatch system appropriate (ref=Inappropriate/Neutral) 0.322 .297 3.612 <.001* 0.238 .209 2.530 .013* -0.163 -.102 -1.185 .239
R² (adj. R²) .350 (.296) .347 (.292) .281 (.221)
F (p) 6.417 (<.001) 6.330 (<.001) 4.656 (<.001)
Durbin-Watson 1.866 1.673 1.698
Tolerance .797~.918
VIF 1.089~1.273

ref=reference; VIF=variance inflation factor.

*p<.05

  • 1. Yi J, Kim J. Impact evaluation of nurse staffing policy reform in Korea: a quasi-experimental study. Journal of Nursing Management. 2022;30(7):3457-3465. https://doi.org/10.1111/jonm.13815
  • 2. Adynski GI, Sherwood G, Ikharo E, Tran A, Jones CB. Outpatient nurse staffing relationship with organizational, nurse and patient outcomes: a scoping review. International Journal of Nursing Studies Advances. 2022;4:100064. https://doi.org/10.1016/j.ijnsa.2022.100064
  • 3. Labor conditions and challenges of Korean nurses: materials from the International Nurses Day commemorative forum Proceedings. Seoul: Korean Health and Medical Workers’ Union; 2019.
  • 4. Kim NH, Yang YR, Ahn JH. Nurses’ experiences of care for patients in coronavirus disease 2019 infection wards during the early stages of the pandemic. Korean Journal of Adult Nursing. 2022;34(1):109-121. https://doi.org/10.7475/kjan.2022.34.1.109
  • 5. Yoon RS, Gu MK, Park MR, Sok SH. Experiences of COVID-19 dedicated ward nurse managers in South Korea: a qualitative study. Frontiers in Public Health. 2025;13:1675436. https://doi.org/10.3389/fpubh.2025.1675436
  • 6. Mitchell TR, Holtom BC, Lee TW, Sablynski CJ, Erez M. Why people stay: using job embeddedness to predict voluntary turnover. Academy of Management Journal. 2001;44(6):1102-1121. https://doi.org/10.5465/3069391
  • 7. Park JI, Park HJ. The influence of job embeddedness and adversity quotient on organizational commitment of nurses. Journal of the Korea Academia-Industrial Cooperation Society. 2023;24(3):375-385. https://doi.org/10.5762/KAIS.2023.24.3.375
  • 8. Zhou S, Ma J, Fan S, Wang H, An W, Li L, et al. The mediating effect of job embeddedness on the nursing work environment and transition shock among new nurses: a cross-sectional study. Nurse Education in Practice. 2024;78:104034. https://doi.org/10.1016/j.nepr.2024.104034
  • 9. El-Gazar HE, Abdelhafez S, Zoromba MA. Effects of the areas of worklife on job embeddedness: a national cross-sectional study among Egyptian nurses. BMC Nursing. 2022;21:(1):353. https://doi.org/10.1186/s12912-022-01107-6
  • 10. Kennedy E, Kennedy P, Hernandez J, Shakoor K, Munyan K. Understanding redeployment during the COVID-19 pandemic: a qualitative analysis of nurse reported experiences. SAGE Open Nursing. 2022;8:23779608221114985. https://doi.org/10.1177/23779608221114985
  • 11. Zhang Y, Lei S, Yang F. Relationship between job resources and job embeddedness among tertiary-level public hospital nurses: parallel mediating roles of work-family conflict and work-family enrichment. Frontiers in Public Health. 2025;13:https://doi.org/10.3389/fpubh.2025.1527511
  • 12. Yoon YY, Jang HY. Influences of emotional labor and work-life balance on organizational commitment among nurses in comprehensive nursing care service wards. Journal of Korean Academy of Nursing Administration. 2022;28(2):100-109. https://doi.org/10.11111/jkana.2022.28.2.100
  • 13. Digonis S. The impact of the organizational commitment of nurses in health units in Greece: cross-sectional study. International Archives of Nursing and Health Care. 2023;9:188. https://doi.org/10.23937/2469-5823/1510188
  • 14. Straw C. Engagement and retention in float pools: Keeping the team above water. Nursing Management. 2018;49(10):30-36. https://doi.org/10.1097/01.NUMA.0000546201.01962.0d
  • 15. Alfuqaha OA, Al-Hairy SS, Al-Hemsi HA, Sabbah AA, Faraj KN, Assaf EM. Job rotation approach in nursing profession. Scandinavian Journal of Caring Sciences. 2021;35(2):659-667. https://doi.org/10.1111/scs.12947
  • 16. Moon SJ, Han SS. A predictive model on turnover intention of nurses in Korea. Journal of Korean Academy of Nursing. 2011;41(5):633-641. https://doi.org/10.4040/jkan.2011.41.5.633
  • 17. Liu Y, Duan Y, Guo M. Turnover intention and its associated factors among nurses: a multi-center cross-sectional study. Frontiers in Public Health. 2023;11:1141441. https://doi.org/10.3389/fpubh.2023.1141441
  • 18. Nigussie Bolado G, Ayalew TL, Atinafu Ataro B, Hussein A. The magnitude of turnover intention and associated factors among nurses working at governmental hospitals in southern ethiopia: a mixed-method study. Nursing: Research and Reviews. 2023;13-29. https://doi.org/10.2147/nrr.s404623
  • 19. Bae SH. Noneconomic and economic impacts of nurse turnover in hospitals: a systematic review. International Nursing Review. 2022;69(3):392-404. https://doi.org/10.1111/inr.12769
  • 20. Czaplinski L. Implementing a workload tool to increase float nurses' job satisfaction and reduce intent to leave the workplace [dissertation]. New Haven, CT: Yale University; 2023.
  • 21. Zhao Y, Lu H, Zhu X, Xiao G. Job satisfaction among hospital nurses: an updated literature review. International Journal of Nursing Studies. 2025;162:104964. https://doi.org/10.1016/j.ijnurstu.2024.104964
  • 22. Hansen A, Tuttas C. Professional choice 2020-2021: travel nursing turns the tide. Nurse Leader. 2022;20(2):145-151. https://doi.org/10.1016/j.mnl.2021.12.018
  • 23. Dall'Ora C, Meredith P, Saville C, Jones J, Griffiths P. Nurse staffing configurations and nurse absence due to sickness. JAMA Network Open. 2025;8:(4):e255946. https://doi.org/10.1001/jamanetworkopen.2025.5946
  • 24. Han K, Trinkoff AM, Baek H, Kim Y. A comparison of work characteristics and health status between Korean and US hospital nurses. Nursing Open. 2024;11:(9):e70040. https://doi.org/10.1002/nop2.70040
  • 25. Fraher EP, Sullivan C, Pathak S, Tapen C. Trends in general acute care hospital nurse staffing from 2017 to 2022. Nursing Outlook. 2025;73:(4):102439. https://doi.org/10.1016/j.outlook.2025.102439
  • 26. Lee SE, Dahinten VS. Adaptation and validation of a Korean-language version of the revised hospital survey on patient safety culture (K-HSOPSC 2.0). BMC Nursing. 2021;20:26. https://doi.org/10.1186/s12912-020-00523-w
  • 27. Lee EY, Kim NH. Relationship among nurses' attitude on job rotation, job stress and organizational commitment. Korean Academic Society of Occupational Health Nursing. 2012;21(2):154-163. https://doi.org/10.5807/kjohn.2012.21.2.154
  • 28. Yoo EO. Differences of attitude on job rotation and job satisfaction between dispatched nurses and non-dispatched nurses at a general hospital [master's thesis]. Busan: Busan Catholic University; 2013.
  • 29. Cho GH. The effect of job stress of dispatched nurses on job satisfaction and organizational immersion in the COVID-19 situation [master's thesis]. Seoul: Chung-Ang University; 2023.
  • 30. Park EH, Jang HK. Experiences of helper nurses in a COVID-19 dedicated ward at a tertiary general hospital. Journal of Korean Association for Qualitative Research. 2024;9(2):93-103. https://doi.org/10.48000/kaqrkr.2024.9.93
  • 31. Reitz OE. The job embeddedness instrument: an evaluation of validity and reliability. Geriatric Nursing. 2014;35(5):351-356. https://doi.org/10.1016/j.gerinurse.2014.04.011
  • 32. Choi SM, Lee SJ. Validity and reliability of the korean version of the job embeddedness for Korean Nurses. Journal of the Korean Data Analysis Society. 2017;19(4):2145-2157. https://doi.org/10.37727/jkdas.2017.19.4.2145
  • 33. Mowday RT, Steers RM, Porter LW. The measurement of organizational commitment. Journal of Vocational Behavior. 1979;14(2):224-247. https://dx.doi.org/10.1016/0001-8791(79)90072-1
  • 34. Lee MH. Relationship between organizational culture types and organizational effectiveness in hospitals. Journal of Korean Academy of Nursing Administration. 1998;4(2):363-385.
  • 35. Cortina JM. What is coefficient alpha? An examination of theory and applications. Journal of Applied Psychology. 1993;78(1):9898-104. https://doi.org/10.1037/0021-9010.78.1.98
  • 36. Kim MR. Influential factors on turnover intention of nurses: the affect of nurse's organizational commitment and career commitment to turnover intention. Journal of Korean Academy of Nursing Administration. 2007;13(3):335-344.
  • 37. Lim JY, Kim GM, Kim EJ. Factors associated with turnover intention among hospital nurses: a systematic review and meta-analysis. Journal of Korean Academy of Psychiatric and Mental Health Nursing. 2024;33(1):70-79. https://doi.org/10.12934/jkpmhn.2024.33.1.70
  • 38. Han MK, Shin SJ, Kim JH. Individual and institutional outcomes of nurse residency program for new nurses: a systematic review. Korean Journal of Adult Nursing. 2021;33(1):10-28. https://doi.org/10.7475/kjan.2021.33.1.10
  • 39. Ahn SH, Choi EJ, Choi MY, Kim HG, Jeong HW. Effects of a training program for critical care nurses on knowledge, clinical performance, and satisfaction related to critically ill patient care. Nursing and Health Issues. 2024;29(1):64-76.
  • 40. Chen SF, Fang YW, Wang MH, Wang TF. Effects of an adaptive education program on the learning, mental health and work intentions of new graduate nurses. International Journal of Environmental Research and Public Health. 2021;18:(11):5891. https://doi.org/10.3390/ijerph18115891
  • 41. Choi MG, Kim YB. Organizational design theory and practice. Seoul: Topbooks; 2012.
  • 42. Seo YJ, Yu M. Comparative study on work-life balance, nursing work environment, nursing organizational culture, and job satisfaction before turnover among nurses leaving hospital: current clinical nurses versus non-clinical nurses. Journal of Korean Academy of Nursing Administration. 2023;29(4):385-396. https://doi.org/10.11111/jkana.2023.29.4.385
  • 43. Jang YJ, Jeong JA, Ban YS, Park SH, Lee EJ. Effects of social support on organizational commitment among experienced nurses experiencing department rotation: the mediating effect of organizational socialization. Journal of Korean Academy of Nursing. 2025;55(3):364-376. https://doi.org/10.4040/jkan.25042
  • 44. Oh MS. A study on nurses’ attitudes and job satisfaction regarding departmental transfers in university-affiliated hospitals [master’s thesis]. Seoul: Kyung Hee University; 2000.
  • 45. Yoon BS, Kim CK. A meta-analysis on the effect of leadership and job satisfaction on the turnover intention: mediating effect of organizational commitment. Journal of Employment and Career. 2020;10(4):1-25. https://doi.org/10.35273/jec.2020.10.4.001
  • 46. Huang HL, Cheng LK, Sun PC, Jiang YS, Lin HH. Relationship among social tactics, job embeddedness, and affective commitment in newcomers: the moderating effect of workplace spirituality. Journal of Management & Organization. 2024;30(4):951-971. https://doi.org/10.1017/jmo.2021.11
  • 47. Olafsen AH, Deci EL. Self-determination theory and its relation to organizations. In: Braddick O, editor. Oxford research encyclopedia of psychology. Oxford: Oxford University Press; 2017.
  • 48. Kallerhult Hermansson S, Norström F, Hilli Y, Rennemo Vaag J, Bölenius K. Job satisfaction, professional competence, and self-efficacy: a multicenter cross-sectional study among registered nurses in Sweden and Norway. BMC Health Services Research. 2024;24:(1):734. https://doi.org/10.1186/s12913-024-11177-8
  • 49. Gibbs Z. Linking nurses' job embeddedness and self-efficacy to locus of control. Online Journal of Issues in Nursing. 2022;27:(3):PPT14. https://doi.org/10.3912/OJIN.Vol27No03PPT14
  • 50. Alomran AM, Ahmed TS, Kassem AM. Impact of organizational trust on organizational commitment: the moderating effect of national identity. Cogent Social Sciences. 2024;10:(1):2309712. https://doi.org/10.1080/23311886.2024.2309712

Figure & Data

References

    Citations

    Citations to this article as recorded by  

      Download Citation

      Download a citation file in RIS format that can be imported by all major citation management software, including EndNote, ProCite, RefWorks, and Reference Manager.

      Format:

      Include:

      The Effects of Nurses’ Dispatch Work Characteristics on Job Embeddedness, Organizational Commitment, and Turnover Intention
      J Korean Acad Nurs Adm. 2025;31(5):560-571.   Published online December 31, 2025
      Download Citation
      Download a citation file in RIS format that can be imported by all major citation management software, including EndNote, ProCite, RefWorks, and Reference Manager.

      Format:
      • RIS — For EndNote, ProCite, RefWorks, and most other reference management software
      • BibTeX — For JabRef, BibDesk, and other BibTeX-specific software
      Include:
      • Citation for the content below
      The Effects of Nurses’ Dispatch Work Characteristics on Job Embeddedness, Organizational Commitment, and Turnover Intention
      J Korean Acad Nurs Adm. 2025;31(5):560-571.   Published online December 31, 2025
      Close
      The Effects of Nurses’ Dispatch Work Characteristics on Job Embeddedness, Organizational Commitment, and Turnover Intention
      The Effects of Nurses’ Dispatch Work Characteristics on Job Embeddedness, Organizational Commitment, and Turnover Intention
      Characteristics Category n (%) Job embeddedness Organizational commitment Turnover intention
      M±SD U/H/F (p) M±SD U/H/F (p) M±SD U/H/F (p)
      Age (yr) 20~29 67 (51.5) 3.53±0.45 2.16* (.340) 3.82±0.43 3.30* (.192) 2.49±0.66 6.40* (.041)
      30~39 51 (39.2) 3.45±0.39 3.76±0.48 2.48±0.58
      ≥40 12 (9.2) 3.64±0.51 4.01±0.50 1.97±0.62
      Gender Man 7 (5.4) 3.54±0.67 409.50 (.828) 3.66±0.94 418.50 (.901) 2.43±0.70 418.00 (.897)
      Woman 123 (94.6) 3.51±0.42 3.82±0.42 2.44±0.64
      Education level College 6 (4.6) 3.59±0.32 0.20* (.903) 4.00±0.43 1.03* (.598) 2.11±0.54 1.71* (.425)
      University 114 (87.7) 3.51±0.45 3.80±0.47 2.45±0.63
      Graduate school 10 (7.7) 3.50±0.27 3.85±0.37 2.47±0.76
      Clinical career (yr) 1~<3 7 (5.4) 3.54±0.66 5.74* (.220) 3.94±0.58 7.33* (.120) 2.38±0.64 8.24* (.083)
      3~<5 50 (38.5) 3.49±0.43 3.77±0.42 2.50±0.67
      5~<7 28 (21.5) 3.51±0.42 3.80±0.55 2.55±0.54
      7~<10 19 (14.6) 3.35±0.30 3.71±0.26 2.54±0.58
      ≥10 26 (20.0) 3.65±0.46 3.97±0.49 2.13±0.66
      Working area Surgical ward 61 (46.9) 3.58±0.49 1.48 (.232) 3.89±0.45 1.91 (.152) 2.37±0.64 1.07 (.346)
      Medical ward 45 (34.6) 3.44±0.40 3.73±0.46 2.52±0.63
      Intern-substitute procedure unit 24 (18.5) 3.56±0.39 3.89±0.46 2.34±0.66
      Desire to change unit Yes 65 (50.0) 3.39±0.39 9.95 (.002) 3.68±0.46 11.89 (<.001) 2.62±0.56 11.10 (<.001)
      No 65 (50.0) 3.63±0.44 3.95±0.42 2.26±0.67
      Experience of unit transfer Yes 52 (40.0) 3.61±0.47 4.81 (.030) 3.91±0.46 4.08 (.045) 2.23±0.60 10.15 (.002)
      No 78 (60.0) 3.44±0.40 3.75±0.45 2.58±0.63
      Satisfaction with current unit Satisfied 91 (70.0) 3.61±0.42 20.26 (<.001) 3.95±0.39 31.83 (<.001) 2.29±0.62 19.97 (<.001)
      Neutral, dissatisfied 39 (30.0) 3.27±0.38 3.50±0.47 2.79±0.54
      Characteristics Category n(%) Job embeddedness Organizational commitment Turnover intention
      M±SD U/H/F (p) M±SD U/H/F (p) M±SD U/H/F (p)
      Total number of dispatches (times) 1 29 (22.3) 3.51±0.52 0.77* (.942) 3.82±0.47 0.99* (.912) 2.55±0.60 1.20* (.879)
      2 16 (12.3) 3.59±0.43 3.74±0.45 2.46±0.59
      3 29 (22.3) 3.46±0.39 3.86±0.43 2.37±0.51
      4 27 (20.8) 3.53±.032 3.87±0.33 2.39±0.68
      ≥5 29 (22.3) 3.51±0.50 3.75±0.58 2.43±0.78
      Number of dispatches in the past 2 years (times) 1a 54 (41.5) 3.52±0.47 1.58* (.197) 3.84±0.44a 3.04 (.031) d>b 2.48±0.61 2.44 (.068)
      2b 28 (21.5) 3.38±0.43 3.61±0.53b 2.65±0.57
      3c 24 (18.5) 3.51±0.31 3.85±0.39c 2.32±0.69
      4d 24 (18.5) 3.63±0.45 3.97±0.40d 2.22±0.67
      M±SD 2.14±1.15
      Reason for dispatch Involuntary, by request 90 (69.2) 3.51±0.43 0.08* (.961) 3.81±0.45 2.02* (.364) 2.47±0.62 4.16* (.125)
      Voluntary, by request 33 (25.4) 3.52±0.48 3.81±0.45 2.46±0.64
      Self-initiated 7 (5.4) 3.51±0.33 4.00±0.63 1.90±0.71
      Clinical experience at the time of first dispatch (yr) <3 77 (59.0) 3.53±0.43 0.48* (.785) 3.79±0.40 1.62* (.446) 2.51±0.65 3.78* (.151)
      3~<5 40 (30.8) 3.48±0.46 3.84±0.56 2.38±0.66
      5~<7 3 (2.3) 3.67±0.29 3.93±0.53 2.50±.060
      ≥7 10 (7.7) 3.45±0.43 3.84±0.48 2.15±.045
      Average duration of dispatches over the past 2 years (mo) <1 78 (60.0) 3.50±0.43 1.57 (.212) 3.79±0.43 0.30 (.740) 2.52±0.67 1.83 (.165)
      1~<3 27 (20.8) 3.43±0.41 3.81±0.43 2.39±0.56
      ≥3 25 (19.2) 3.64±0.45 3.88±0.57 2.25±0.60
      Reassigned to the same dispatch unit Yes 8 (6.1) 3.51±0.31 0.44* (.804) 3.81±0.47 0.10* (.954) 2.52±0.96 0.36* (.836)
      No 68 (52.3) 3.50±0.43 3.80±0.48 2.39±0.62
      Not applicable 54 (41.5) 3.52±0.47 3.84±0.44 2.48±0.61
      Most recent dispatch unit GW>GW 61 (46.9) 3.50±0.45 0.06* (.996) 3.80±0.44 0.24* (.972) 2.46±0.65 0.66* (.883)
      GW>SU 45 (34.6) 3.51±0.34 3.83±0.48 2.44±0.62
      GW>OPD 22 (16.9) 3.53±0.52 3.84±0.46 2.38±0.64
      Specialty unit>SU/GW 2 (1.6) 3.56±1.12 3.67±1.04 2.17±0.94
      Pre-dispatch training received Yes 57 (43.8) 3.57±0.40 1.86 (.175) 3.86±0.47 1.20 (.275) 2.39±0.66 0.54 (.463)
      No 72 (55.4) 3.46±0.46 3.78±0.45 2.47±0.62
      Interaction with staff before dispatch Yes 25(19.2) 3.75±0.53 10.37 (.002) 4.01±0.44 5.87 (.017) 2.19±0.60 4.98 (.027)
      No 105(80.8) 3.45±0.39 3.77±0.45 2.50±0.63
      Sufficiency of pre-dispatch training (n=57)§ Sufficient 11(19.3) 3.65±0.44 334.50 3.85±0.50 360.50 2.39±0.71 307.00
      Neutral, insufficient 46(80.7) 3.55±0.39 3.87±0.47 2.39±0.66
      Willingness to participate again Yes 71(54.6) 3.58±0.43 4.16 (.044) 3.89±0.47 4.83 (.030) 2.36±0.62 2.16 (.144)
      No 59(45.4) 3.43±0.43 3.72±0.44 2.53±0.65
      Helpfulness for career development Helpful 90(69.2) 3.55±0.41 2.64 (.107) 3.85±0.45 1.52 (.220) 2.41±0.65 0.61 (.436)
      Neutral, not helpful 40(30.8) 3.42±0.48 3.74±0.48 2.50±0.60
      Helpfulness for competency enhancement Enhanced 81(62.3) 3.58±0.43 6.35 (.013) 3.87±0.47 2.92 (.090) 2.38±0.67 1.91 (.170)
      Neutral, not enhanced 49(37.7) 3.39±0.41 3.73±0.43 2.54±0.58
      Perceived necessity of dispatch work Necessary 68(52.3) 3.59±0.41 4.65 (.033) 3.90±0.47 5.49 (.021) 2.43±0.66 0.02 (.895)
      Neutral, unnecessary 62(47.7) 3.43±0.45 3.72±0.43 2.45±0.61
      Appropriateness of current dispatch system Appropriate 26(20.0) 3.79±0.42 14.37 (<.001) 4.03±0.42 7.40 (.007) 2.33±0.71 0.88 (.349)
      Neutral, inappropriate 104(80.0) 3.44±0.41 3.76±0.45 2.46±0.62
      Necessity of pre-dispatch training Necessary 124(95.4) 3.51±0.42 218.50 (.484) 3.81±0.45 248.50 (.927) 2.45±0.63 228.50 (.618)
      Neutral, unnecessary 6(4.6) 3.56±0.68 3.83±0.61 2.25±0.82
      Characteristics Category n (%)
      Areas of pre-training needed (n=25) Work processes 18 (72.0)
      Request procedures and collaboration system 3 (12.0)
      Emergency response 3 (12.0)
      Use of medical devices and equipment 1 (4.0)
      Difficulties experienced during dispatch work (multiple responses) Adaptation to facility/structural environment 115 (88.5)
      Adaptation to unfamiliar work processes 109 (83.8)
      Psychological burden 102 (78.5)
      Interpersonal relationships 39 (30.0)
      Increased workload intensity 14 (10.8)
      Most difficult aspect during dispatch work Adaptation to unfamiliar work processes 67 (51.5)
      Adaptation to facility/structural environment 29 (22.3)
      Psychological burden 29 (22.3)
      Interpersonal relationships 5 (3.8)
      Increased workload intensity 0
      Suggested improvements for dispatch work operation Strengthening of pre-dispatch training 78 (60.0)
      Reducing the workload 27 (20.8)
      Considering personal preferences in assignments 23 (17.7)
      Prior notification of task requirements 1 (0.8)
      Improving communication with receiving unit staff 1 (0.8)
      Raising the minimum required years of clinical experience for dispatch 0
      Variable Job embeddedness Organizational commitment Turnover intention
      r (p) r (p) r (p)
      Job embeddedness 1 .71(<.001) -.48(<.001)
       Organizational fit .85 (<.001) .78 (<.001) -.56 (<.001)
       Benefits .71 (<.001) .45 (<.001) -.28 (<.001)
       Coworker links .51 (<.001) .16 (.075) -.08 (<.001)
       Community fit .67 (<.001) .41 (<.001) -.27 (.002)
      Organizational commitment .71 (<.001) 1 -.70 (<.001)
       Affective commitment .56 (<.001) .90 (<.001) -.70 (<.001)
       Identification .68 (<.001) .85 (<.001) -.52 (<.001)
       Intent to remain .58 (<.001) .80 (<.001) -.55 (<.001)
      Turnover intention -.48 (<.001) -.70 (<.001) 1
      Variable Job embeddedness Organizational commitment Turnover intention
      B β t p B β t p B β t p
      (Constant) 3.220 21.280 <.001* 3.565 22.253 <.001* 2.524 10.810 <.001*
      Age <40 yr (ref=≥40) -0.010 -.007 -0.085 .932 -0.095 -.060 -0.732 .466 0.286 .130 1.511 .134
      Desire to change unit (ref=No) -0.199 -.230 -2.869 .005* -0.203 -.222 -2.768 .007* 0.277 .218 2.589 .011*
      Unit transfer experience (ref=No) 0.135 .153 1.844 .068 0.095 .102 1.230 .221 -0.216 -.167 -1.915 .058
      Satisfaction with current unit (ref=Neutral/Dissatisfied) 0.197 .209 2.519 .013* 0.294 .295 3.549 <.001* -0.285 -.205 -2.360 .020*
      Dispatch frequency (past 2 years) (ref=<3 times) 0.053 .059 0.764 .447 -0.086 -.090 1.170 .244 -0.168 -.128 -1.578 .117
      Pre-dispatch communication (ref=No) 0.187 .170 2.188 .031* 0.132 .114 1.459 .147 -0.143 -.089 -1.880 .279
      Willingness for future dispatch (ref=No) 0.053 .061 0.767 .445 0.091 .099 1.231 .221 -0.107 -.084 -0.993 .323
      Competency improved after dispatch (ref=No/Neutral) 0.049 .054 0.652 .516 -0.025 -.026 -0.317 .752 -0.066 -.050 -0.574 .567
      Dispatch perceived necessary (ref=No/Neutral) 0.053 .062 0.751 .454 0.104 .114 1.383 .169 0.047 .037 0.424 .673
      Dispatch system appropriate (ref=Inappropriate/Neutral) 0.322 .297 3.612 <.001* 0.238 .209 2.530 .013* -0.163 -.102 -1.185 .239
      R² (adj. R²) .350 (.296) .347 (.292) .281 (.221)
      F (p) 6.417 (<.001) 6.330 (<.001) 4.656 (<.001)
      Durbin-Watson 1.866 1.673 1.698
      Tolerance .797~.918
      VIF 1.089~1.273
      Table 1. Difference of Job Embeddedness, Organizational Commitment, and Turnover Intention According to General Characteristics (N=130)

      Intern-substitute procedure unit: This unit was established to compensate for the shortage of interns due to the resident strike. Nurses who completed training for intern-level procedures were assigned to perform those procedures.

      M=mean; SD=standard deviation.

      Kruskal-Wallis test;

      Mann-Whitney U-test;

      One-way analysis of variance.

      Table 2. Differences in Job Embeddedness, Organizational Commitment, and Turnover Intention According to Characteristics of Dispatch Work

      M=mean; SD=standard deviation; GW=general ward; SU=specialty unit; OPD=outpatient department.

      Kruskal-Wallis test;

      One-way analysis of variance.

      Mann-Whitney U-test;

      (n=57): analysis limited to participants who completed pre-dispatch training.

      Table 3. Dispatch Work Characteristics (N=130)

      Table 4. Correlations among Job Embeddedness, Organizational Commitment, and Turnover Intention (N=130)

      Table 5. Factors Influencing Job Embeddedness, Organizational Commitment, and Turnover Intention (N=130)

      ref=reference; VIF=variance inflation factor.

      p<.05

      TOP