• KANAD
  • Contact us
  • E-Submission
ABOUT
BROWSE ARTICLES
EDITORIAL POLICY
FOR CONTRIBUTORS

Articles

Original Article

임상간호사의 투약안전역량, 이차 피해경험, 이차 피해지지, 업무 관련 부정적 결과의 관계

The Relationship of Medication Safety Competence, Second Victim Experiences, Second Victim Support, and Negative Work Outcomes among Clinical Nurses

Journal of Korean Academy of Nursing Administration 2025;31(5):493-503.
Published online: December 31, 2025

1분당제생병원 간호사, 아주대학교 간호대학 석사

2아주대학교 간호대학 부교수, 간호과학연구소

3아주대학교 간호대학 조교수, 간호과학연구소

1Nurse, Bundang Jesaeng Hospital, Master’s Degree, College of Nursing, Ajou University

2Associate Professor, College of Nursing, Research Institute of Nursing Science, Ajou University

3Assistant Professor, College of Nursing, Research Institute of Nursing Science, Ajou University

Corresponding author: Youngjin Lee College of Nursing, Ajou University, 206 World cup-ro, Yeongtong-gu, Suwon 16499, Korea Tel: +82-31-219-7011 E-mail: yjlee531@ajou.ac.kr
- 이 논문은 제1저자 장아림의 석사 학위논문을 수정하여 작성한 것임.
- This article is a condensed form of the first author's master's thesis from Ajou University.
• Received: April 6, 2025   • Revised: October 30, 2025   • Accepted: December 16, 2025

© 2025 Korean Academy of Nursing Administration

This is an Open Access article distributed under the terms of the Creative Commons Attribution Non-Commercial License (http://creativecommons.org/licenses/by-nc/4.0/) which permits unrestricted non-commercial use, distribution, and reproduction in any medium, provided the original work is properly cited.

  • 438 Views
  • 40 Download
prev next
  • Purpose
    This study aimed to identify clinical nurses’ levels of medication safety competence, second victim experience, second victim support, and negative work outcomes, and to examine the interrelationships among these variables.
  • Methods
    A cross-sectional study was conducted with 142 nurses working in university or general hospitals in Gyeonggi-do, South Korea, using self-administered questionnaires collected between June 10 and July 5, 2024. Data were analyzed with IBM SPSS statistics 29.0 using descriptive statistics and Pearson correlation analysis.
  • Results
    The mean scores were as follows: medication safety competence (4.10±0.43), second victim experience (3.37±0.61), second victim support (3.12±0.30), and negative work outcomes (2.68±0.72). Medication safety competence was negatively correlated with negative work outcomes (r=-.17, p=.047) and positively correlated with psychological distress, a subdomain of second victim experience (r=.21, p=.013). Second victim experience was positively correlated with both second victim support (r=.53, p<.001) and negative work outcomes (r=.56, p<.001).
  • Conclusion
    This study demonstrated that nurses with greater medication safety competence experienced fewer negative work-related outcomes but higher levels of psychological distress. Strengthening medication safety competence may improve patient safety and occupational performance; however, the associated psychological burden must not be overlooked. Initiatives to enhance competence should therefore be accompanied by strategies designed to mitigate psychological distress.
1. 연구의 필요성
투약안전사건은 2023년 보고된 환자안전사고 중 49.8%를 차지하며 가장 높은 발생 빈도를 보였다. 이는 약물의 처방, 조제, 투여 전 과정에서 발생할 수 있는 모든 사건을 포함한다[1]. 투약안전사건은 입원 환자의 질병 악화와 사망의 주요 원인으로 작용하며, 입원 기간을 연장시키는 요인으로 보고되고 있다[2]. 임상간호사는 병원 내에서 환자와 가장 빈번하게 상호작용하며, 이 과정에서 환자 상태를 면밀히 관찰하고 투약안전사건으로 이어질 수 있는 오류를 신속히 인지하여 발생 가능성을 최소화하는 데 기여한다[3]. 임상간호사는 투약 과정 중 발생할 수 있는 문제를 발견하고 수정하는 핵심적인 위치에 있으며, 이를 통해 환자의 안전을 보장하고 불필요한 의료비 증가 및 치료 지연을 예방할 수 있다[4]. 투약안전사건의 예방은 임상간호사의 전문 역량 강화와 밀접하게 관련되며, 이는 환자안전 증진을 위한 중요한 기회로 간주된다[5].
임상간호사는 투약안전사건을 예방하기 위해 투약안전역량을 지속적으로 강화해야 하며, 이를 통해 투약오류를 감소시키고 환자안전을 보장할 수 있다[6]. 투약안전역량은 환자 중심의 안전한 간호를 제공하고, 약물치료 과정에서 발생할 수 있는 문제를 개선하며, 위기 상황에 신속하게 대처하는 능력을 포함하는 간호사의 핵심 역량이다[7]. 이러한 역량은 투약안전사건 예방에 중요한 역할을 하지만, 실제 임상에서는 다양한 외적 요인으로 인해 간호사의 역량만으로 이를 완전히 방지하는 데 한계가 존재한다[8]. 특히, 투약 관련 역량 부족은 투약안전사건의 발생 가능성을 높일 뿐 아니라, 간호사의 자기효능감 저하, 자책감, 두려움 등 심리적 부담을 심화시킬 수 있다[9,10]. 아울러, 적절한 지지의 부재는 이차 피해를 경험한 의료인의 역량 회복과 업무 복귀를 저해하며, 심리적 고통과 자기효능감 저하를 악화시키는 요인으로 작용한다[11]. 따라서 투약안전사건으로 인한 이차 피해에 대한 이해와 적절한 대응은 임상간호사의 심리적 회복을 도모하고 환자안전을 확보하는 데 필수적이다.
환자안전사건을 경험한 의료서비스 제공자가 사건 이후 겪는 부정적인 감정과 신체적 증상은 ‘이차 피해’로 정의되며, 이는 이차 피해경험, 이차 피해지지, 그리고 업무와 관련된 부정적 결과를 포함한다[10]. 이차 피해경험은 정신적•신체적 디스트레스(distress)와 전문직 자기효능감 저하로 구성되며, 이차 피해지지는 동료, 관리자, 기관으로부터의 지지와 비업무적 지지로 구분된다. 업무 관련 부정적 결과에는 이직 의도, 결근, 휴직 경험 등이 포함된다[10,12,13]. 선행 연구에 따르면 병원 내 의료인의 약 65%가 이차 피해로 인한 정신적•신체적 스트레스를 경험했으며[14], 직접 환자를 돌보는 임상간호사의 약 45%도 이차 피해경험을 보고한 바 있다[15]. 임상간호사는 환자와의 밀접한 상호작용을 기반으로 업무를 수행하기 때문에, 환자안전사건 발생 시 죄책감과 심리적 부담을 크게 느끼며, 타 직종에 비해 이차 피해를 경험할 가능성이 높은 집단으로 보고된다[5]. 이는 임상간호사가 고강도 업무와 열악한 근무 환경 속에서 환자 및 보호자와 직접 대면하는 과정에서 환자안전사건 이후 심리적 스트레스에 더욱 노출되기 쉬운 특성과 관련이 있다[14]. 이차 피해경험은 간호사로 하여금 또 다른 환자안전사건 발생에 대한 두려움을 유발하고, 이는 소진, 결근, 이직으로 이어지는 업무 관련 부정적 결과의 주요 요인으로 작용한다. 따라서 이러한 부정적 결과를 완화하기 위해 이차 피해지지의 중요성이 강조되고 있다[16].
최근 10년간 국외에서는 이차 피해를 극복하고 대처하는 과정, 지지 프로그램 개발, 예방 및 발생 감소를 위한 다양한 연구가 활발히 이루어지고 있다[12,14,17]. 그러나 국내에서는 여전히 이차 피해와 관련된 연구가 초기 단계에 머물러 있으며, 연구의 수와 범위가 제한적인 실정이다. 특히, 투약안전역량과 이차 피해경험, 이차 피해지지, 업무 관련 부정적 결과 간의 관계를 포괄적으로 다룬 연구는 매우 부족하다. 최근 Sun 등[18]은 간호사의 환자안전역량이 이차 피해경험과 유의한 관련이 있음을 보고하였으며, 해당 연구에서 사용된 도구에 투약 관련 문항이 포함되어 있어 본 연구 주제와의 연관 가능성을 시사한다. 이에 본 연구는 투약안전사건 경험이 있는 임상간호사를 대상으로, 투약안전역량이 이차 피해경험, 이차 피해지지, 그리고 업무 관련 부정적 결과와 어떠한 관련성을 갖는지 확인하고자 하였다. 이는 이차 피해의 주요 구성요소 간 상호작용을 이해하고, 투약안전역량이 이차 피해 완화에 기여할 수 있는지를 규명하는 데 의의가 있다.
2. 연구의 목적
본 연구의 목적은 임상간호사의 투약안전역량, 이차 피해경험, 이차 피해지지, 업무 관련 부정적 결과 간의 관계를 규명하기 위함이며, 구체적인 목적은 다음과 같다.
• 임상간호사의 일반적 특성과 투약안전사건경험 특성을 파악한다.
• 임상간호사의 투약안전역량, 이차 피해경험, 이차 피해지지, 업무 관련 부정적 결과의 수준을 파악한다.
• 임상간호사의 일반적 특성에 따른 투약안전역량, 이차 피해경험, 이차 피해지지, 업무 관련 부정적 결과의 차이를 파악한다.
• 임상간호사의 투약안전역량, 이차 피해경험, 이차 피해지지, 업무 관련 부정적 결과 간의 관계를 파악한다.
1. 연구 설계
본 연구는 임상간호사의 투약안전역량, 이차 피해경험, 이차 피해지지, 업무 관련 부정적 결과의 수준과 그 관계를 파악하기 위해 시행된 횡단적 서술적 조사연구이다.
2. 연구 대상
본 연구의 대상자는 경기도에 위치한 1개 대학병원과 1개 종합병원에 재직 중인 간호사를 대상으로 하였다. 종합병원 이상 의료기관에서 3개월 이상 재직 중인 자, 환자 직접 간호를 주 업무로 수행하는 자, 독립적인 환자 간호를 수행하는 자를 대상으로 하였으며, 환자 직접 간호 이외 업무를 주 업무로 수행하는 자, 최근 3개월 내 투약안전사건경험이 있냐는 질문에 ‘무’라고 응답한 자는 제외하였다. 이 기준은 환자안전사건 경험을 측정한 기존 연구를 참고하였다[19].
본 연구의 표본크기는 G*Power 3.1.9.7 프로그램(Heinrich-Heine-Universität Düsseldorf)을 이용하여 산출하였고, 상관관계 분석에 효과크기 .30, 검정력 .95, 유의수준 .05로 설정하였을 때 최소 표본크기는 134명으로 산출되었다. 선행 연구[20]를 참고하여 탈락률 20%를 감안하여 총 168명을 목표 대상자로 선정하였으며, 이차 피해에 대한 선행 연구[19]에서 응답률이 80% 미만으로 나타난 점을 고려하여, 총 210부의 설문지를 배부하였다. 본 연구의 최종 분석 대상은 142부였으며, 68부의 설문지는 연구대상자가 최근 3개월간 투약안전사건경험에 대해 ‘무’라고 응답했거나, 결측치가 존재하여 분석에서 제외되었다.
3. 연구 도구

1) 투약안전역량

투약안전역량은 Park과 Seomun [7]이 간호사를 대상으로 개발한 간호사의 투약안전역량 측정 도구를 이용하여 측정하였다. 이 도구는 총 36문항으로 구성되며 환자 중심 투약관리 9문항, 문제 상황 개선 8문항, 영향요인 관리 6문항, 위기 상황 관리 6문항, 다학제간 협동 4문항, 간호전문직으로써 책임감 3문항의 6개 하위 영역으로 구분된다. 각 문항은 ‘전혀 그렇지 않다’ 1점에서 ‘매우 그렇다’ 5점의 Likert 척도로 측정되며, 총점의 범위는 최저 36점에서 최고 180점의 범위를 지니며, 점수가 높을수록 투약안전역량이 높음을 의미한다. 개발 당시 도구의 신뢰도는 Cronbach’s α=.96이었으며, 본 연구에서는 Cronbach’s α=.76으로 나타났다.

2) 이차 피해경험

Burlison 등[10]이 개발한 이차 피해자 경험 및 지지도구(Second Victim Experience and Support Tool [SVEST])를 Jung 등[19]이 번안한 한국형 이차 피해자 경험 및 지지도구를 각각 승인을 받은 후 사용하였다. 이 도구는 각 이차 피해경험, 이차 피해지지, 업무 관련 부정적 결과 3개의 하위 도구, 총 29문항으로 구성되어있다. 본 도구는 개발 당시 3개의 하위 도구가 독립된 구성의 도구로 설계되었으며, 영역별 신뢰도도 개별적으로 보고된 바 있어, 본 연구에서는 하위 도구를 독립된 변수로 활용하였다. 설문 문항은 SVEST 원 도구의 점수 방향에 따라 1~5점 Likert 척도로 제시하였으며, 역문항은 지침에 따라 역코딩하였다. 한편, SVEST에는 이차 피해경험에 대한 지원 요구(degree of support desired) 문항도 포함되어 있으나, 본 연구에서는 본 연구 목적에 부합하지 않아 해당 항목은 제외하고 사용하였다.
이차 피해경험은 총 12문항으로 SVEST의 하위 영역 중 정신적 디스트레스 4문항, 신체적 디스트레스 4문항, 전문직 자기효능감 저하 4문항으로 구성되며, 1개의 역환산 문항을 포함한다. 반응 척도는 5점 Likert 척도로 ‘전혀 동의하지 않음’에서 ‘매우 동의함’까지 1점에서 5점으로, 점수의 평균이 높을수록 정신적 디스트레스, 신체적 디스트레스, 전문직 자기효능감 저하를 많이 경험한 것을 의미한다. 개발 당시 도구의 Cronbach’s α=.79~.83이었으며, 본 연구의 Cronbach’s α=.78~.88이었다.

3) 이차 피해지지

Burlison 등[10]이 개발한 SVEST를 Jung 등[19]이 번안한 한국형 이차 피해자 경험 및 지지도구를 각각 승인을 받은 후 사용하였다. 이차 피해지지는 총 13문항으로 SVEST의 하위 영역 중 동료지지 4문항, 관리자지지 4문항, 기관지지 3문항, 비업무 관련 지지 2문항으로 구성되어 있고, 역환산 4문항을 포함한다. 반응 척도는 5점 Likert 척도로 ‘전혀 동의하지 않음’에서 ‘매우 동의함’까지 1점에서 5점으로 이루어져 있으며, 점수의 평균이 높을수록 적절한 동료지지, 관리자지지, 기관지지, 가족이나 친구 등 직장 외부에서 제공되는 비업무 관련 지지를 많이 경험한 것을 의미한다. 개발당시 도구의 Cronbach’s α=.61~87이었으며, 본 연구의 Cronbach’s α=.62~.72이었다.

4) 업무 관련 부정적 결과

Burlison 등[10]이 개발한 SVEST를 Jung 등[19]이 번안한 한국형 이차 피해자 경험 및 지지도구를 각각 승인을 받은 후 사용하였다. 본 연구에서는 Jung 등[19]이 사용한 업무 관련결과 도구를 활용하였다. 업무 관련 부정적 결과는 총 4문항으로 이직의도 2문항, 결근 및 휴직 경험 2문항으로 구성되어 있다. 반응 척도는 5점 Likert 척도로 ‘전혀 동의하지 않음’에서 ’매우 동의함'까지 1점에서 5점으로 이루어져 있으며, 점수의 평균이 높을수록 이직의도가 높고, 결근 및 휴직을 많이 경험한 것을 의미한다. 개발당시 도구의 Cronbach’s α=.81~.88이었으며, 본 연구의 Cronbach’s α=.61~.67이었다.
4. 자료 수집 방법
본 연구의 자료 수집은 2024년 6월 10일부터 7월 5일까지 시행하였다. 자료 수집은 자발적 참여를 원칙으로 하였으며, 병원 내 전산 공지를 통해 모집공고를 게시하였다. 설문지는 간호사의 근무지가 고르게 분포되도록 할당하여 배포하였으며, 연구 대상자에게는 설명문을 통해 연구의 목적과 세부 내용을 상세히 안내하였다. 대상자는 서면으로 된 자기 기입식 설문지를 작성하였으며 설문지 작성은 약 15분 정도 소요되었다. 작성 후 설문지를 밀봉된 회수용 봉투에 담도록 하여 회수하였다. 응답은 익명으로 처리하였으며, 참여한 모든 대상자에게는 감사의 표시로 소정의 선물을 제공하였다.
5. 자료 분석 방법
본 연구에 수집된 자료는 IBM SPSS 29.0 통계 프로그램(IBM Corp.)을 이용하여 다음과 같이 분석하였다.
(1) 연구대상자의 일반적 특성, 투약안전사건경험 특성은 실수, 백분율, 평균과 표준편차로 분석하였다.
(2) 연구대상자의 투약안전역량, 이차 피해경험, 이차 피해지지, 업무 관련 부정적 결과의 수준은 평균과 표준편차로 분석하였다.
(3) 연구대상자의 일반적 특성에 따른 투약안전역량, 이차 피해경험, 이차 피해지지, 업무 관련 부정적 결과의 차이를 파악하기 위해 Independent t-test와 one-way analysis of variance를 이용하여 분석하고, 사후 검정을 위해 Scheffé's test로 분석하였다.
(4) 연구대상자의 투약안전역량과 이차 피해경험, 이차 피해지지, 업무 관련 부정적 결과의 상관관계는 Pearson’s correlation coefficient을 이용하여 분석하였다.
6. 윤리적 고려
본 연구는 연구자 소속 대학 기관의 연구윤리심의위원회와 연구자 소속 병원의 연구윤리심의위원회 심사 승인(No. AJOUIRB-SB-2024-263, DMC 2024-05-004)을 받은 후 윤리적 기준을 준수하여 진행하였다. 연구 설명문에는 윤리적인 측면 및 익명성 보장, 응답내용의 비연구용 사용 금지, 연구대상자의 권리 및 문의 절차 등을 명시하였으며, 이를 이해한 후 자발적으로 연구에 참여한 간호사를 대상으로 하였으며, 연구 설명문 확인 후 설문조사에 참여한 경우 연구 참여에 대한 동의로 간주하였다. 수집된 설문지는 밀봉하여 보관하고 통계자료는 비밀번호로 보호하여 연구자 외 접근을 제한하였다.
1. 연구 대상자의 일반적 특성
연구 대상자의 평균 연령은 30.09±6.00세로, 30세 이상이 65명(45.8%)이었으며, 성별은 여성이 128명(90.1%), 미혼이 107명(75.4%), 학사가 126명(88.7%)으로 가장 많았다. 평균 임상 경력은 6.94±6.03년이었으며, 7년 이상이 57명(40.1%)으로 가장 많았고, 현 부서 근무 경력은 4.22±4.01년이었으며, 3년 미만이 69명(48.6%)으로 가장 많았다. 근무부서는 일반병동이 84명(59.1%)으로 가장 많았고, 최근 1년 내의 환자안전교육 이수 경험은 “유”가 138명(97.2%)으로 대다수를 차지하였다(Table 1).
2. 투약안전사건경험
투약안전사건경험은 연구자가 선행 연구[19]를 참고하여 구성한 문항으로, 일반적 특성과 함께 조사하였다. 최근 3개월간 경험한 투약안전사건의 유형과 특성을 복수로 모두 선택하도록 하였으며, 투약안전사건경험이 ‘있다’라고 응답한 대상자 142명의 자료만 분석에 포함하였다. 대상자의 최근 3개월 이내 투약안전사건경험 특성에 대해 다중응답으로 조사한 결과, 위해 정도는 근접오류 116명(81.7%), 위해사건 55명(38.7%), 적신호 사건 0명(0.0%)이었다. 대상자가 경험한 투약안전사건경험에서의 사건 종류는 용량 관련 오류 68명(47.9%)이 가장 높았고, 투약안전 사건발생 근무시간은 주간(day)이 81명(57.0%)으로 가장 많았다. 발생 약물 제형은 주사제 120명(84.5%), 발생 처방 형태는 전산화 처방 입력 시스템(computerized order entry)이 134명(94.4%)으로 과반수 이상인 것으로 나타났다(Table 2).
3. 투약안전역량, 이차 피해경험, 이차 피해지지와 업무 관련 부정적 결과 정도
연구 대상자의 투약안전역량은 147.67±15.50점(평균평점±표준편차, 4.10±0.43)이었다. 하위 영역별 비교를 위해 평균 평점을 산출한 결과, 환자 중심 투약관리가 4.20±0.49점으로 가장 점수가 높았다. 연구 대상자의 이차 피해경험은 3.37±0.61점이었다. 하위 영역별 점수는 정신적 디스트레스가 4.04±0.68점으로 가장 높았으며, 이어서 신체적 디스트레스 3.08±0.99점, 전문직 자기효능감 저하 3.00±0.55점 순으로 나타났다. 연구 대상자의 이차 피해지지는 3.12±0.30점이었다. 하위 영역별 점수는 기관지지가 3.62±0.63점으로 가장 높았으며, 이어서 비업무 관련 지지 3.13±0.72점, 관리자지지 3.10±0.39점, 동료지지 2.77±0.37점 순으로 나타났다. 연구 대상자의 업무 관련 부정적 결과는 2.68±0.72점이었다. 하위 영역별 점수는 이직의도가 3.12±0.99점으로, 결근 및 휴직 경험 2.24±0.71점보다 높게 나타났다(Table 3).
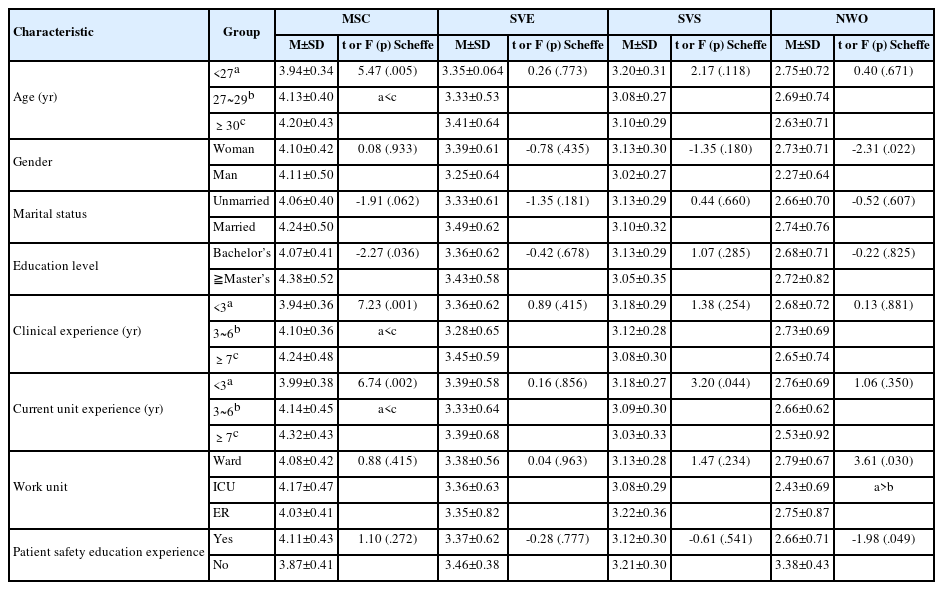
4. 일반적 특성에 따른 투약안전역량, 이차 피해경험, 이차 피해지지와 업무 관련 부정적 결과의 차이
연구 대상자의 일반적 특성에 따른 투약안전역량의 차이를 분석한 결과, 투약안전역량은 연령(F=5.47, p=.005), 최종 학력(t=-2.27, p=.036), 임상 경력(F=7.23, p=.001), 현 부서 근무 경력(F=6.47, p=.002)에 따라 유의한 차이를 보였으며 연령은 30세 이상이 27세 미만보다, 임상 경력 7년 이상이 3년 미만보다, 현 부서 근무 경력 7년 이상이 3년 미만보다 유의하게 높았다.
연구 대상자의 일반적 특성에 따른 이차 피해경험은 유의한 차이가 나타나지 않았다. 이차 피해지지는 현 부서 근무 경력(F=3.20, p=.044)에 따라 유의한 차이를 보였으나, 사후 분석을 시행한 결과, 각 그룹 간 차이는 유의한 결과를 보이지 않았다. 연구 대상자의 일반적 특성에 따른 업무 관련 부정적 결과의 차이를 분석한 결과, 업무 관련 부정적 결과는 성별(t=-2.31, p=.022), 근무부서(F=3.61, p=.030), 환자안전교육 이수 경험(t=-1.98, p=.049)에 따라 통계적으로 유의한 차이를 보였으며, 일반병동 간호사가 중환자실 간호사에 비해 업무 관련 부정적 결과 수준이 통계적으로 유의하게 높았다(Table 4).
5. 투약안전역량, 이차 피해경험, 이차 피해지지와 업무 관련 부정적 결과 간의 관계
투약안전역량은 이차 피해경험의 하위 영역인 정신적 디스트레스(r=.21, p=.013)와 유의한 양의 상관관계를 보였고, 투약안전역량의 하위 영역인 환자 중심 투약관리는 업무 관련 부정적 결과(r=-.17, p=.047)와 유의한 음의 상관관계를 보였다. 투약안전역량의 하위 영역 중 문제 상황 개선(r=.19, p=.023)과 영향요인 관리(r=.22, p=.009), 위기 상황 관리(r=.28, p<.001), 다학제간 협동(r=.20, p=.019), 간호전문직으로써 책임감(r=.19, p=.024)은 이차 피해경험의 하위 영역인 정신적 디스트레스와 유의한 양의 상관관계를 보였다.
이차 피해경험은 이차 피해지지(r=.53, p<.001)와 그 하위영역 모두와 그리고 업무 관련 부정적 결과(r=.56, p<.001)와 그 하위 영역 모두와 유의한 양의 상관관계를 보였다. 이차 피해지지는 업무 관련 부정적 결과(r=.59, p<.001), 그 하위 영역인 이직의도(r=.55, p<.001), 결근 및 휴직 경험(r=.41, p<.001)과 모두 유의한 양의 상관관계를 보였다(Table 5).
본 연구는 임상간호사가 경험한 투약안전사건의 경험을 확인하고, 투약안전역량과 투약안전사건으로 인한 이차 피해경험, 이차 피해지지, 업무 관련 부정적 결과의 수준을 파악하고 그들의 관계를 분석하기 위해 시행되었다. 본 연구에서 투약안전역량의 평균 점수는 5점 만점에 4.10점으로, 비교적 높았으며, 이는 Jeong 등[21]의 4.05점, Kim과 Lee [22]의 4.03점과 유사하고, Song과 Kim [23]의 3.84점보다는 높았다. 이러한 차이는 본 연구 대상자의 평균 임상 경력은 6.94년으로, Song과 Kim [23]의 연구에서 대상자의 임상 경력이 주로 5년 미만이 다수를 차지한 것과 비교할 때 더 길었던 점에서 기인한 것으로 해석할 수 있다. 따라서 경력 분포와 근무 환경의 차이를 고려한 반복 연구가 필요하다.
임상간호사들의 이차 피해경험 점수는 5점 만점에 3.37점으로, 중간 이상의 수준이었다. Park과 Choi [24]의 연구에서는 동일 도구를 사용한 점수가 3.22~3.47점이었다. 이는 본 연구가 다양한 환자안전사건이 아닌 투약안전사건 경험만을 조사했기 때문일 수 있다. 투약안전사건은 환자에게 직접적인 영향을 미쳐 간호사에게 더 큰 심리적 부담과 책임감을 유발할 수 있으며, 투약이 간호사의 핵심 간호행위라는 점에서 이차 피해로 이어질 위험이 높다[9]. 이에 따라 투약안전사건의 맥락적 이해가 필요하며, 단순한 포괄적 접근보다는 처방, 조제, 투여 등 투약 과정의 어느 단계에서 오류가 빈번한지에 대한 구체적 연구가 요구된다. 또한 사건 발생 후 경과 시간, 그리고 간호사가 사건에 직접적으로 연루되었는지 혹은 간접적으로 연루되었는지에 따라 이차 피해의 정도와 회복 과정이 달라질 수 있으므로, 이를 체계적으로 규명하는 연구가 필요하다.
이차 피해지지 점수는 5점 만점에 3.12점으로 Jung 등[19]의 평균 3.34점보다 다소 낮았다. Jung 등[19]의 연구에서는 일반병동 간호사가 39.1%였던 반면, 본 연구에서는 59.2%로 높아 이러한 대상자 구성 차이가 점수에 영향을 미쳤을 가능성이 있다. 본 연구에서 이차 피해지지의 하위영역 중에서는 기관 지지가 3.62점으로 가장 높았고, 동료 지지는 2.77점으로 가장 낮았다. 이는 의료기관이 이차 피해자를 적극 지지하고 심리적 지원과 교육을 제공할 때 회복이 원활해진다는 선행 연구[25]와, 정서적•전문적 지원 프로그램이 이차 피해자의 부정적 결과를 예방하고 직무 만족도와 회복력을 높인다는 선행 연구[13]와 부합한다. 그러나 국내에서는 아직 체계적이고 지속 가능한 지지 프로그램이 충분히 마련되지 못한 실정이다. 의료기관의 적극적인 지지 체계는 간호사의 회복과 업무 지속성에 중요한 영향을 미치므로, 현실적이고 지속 가능한 지지 프로그램의 개발이 필요하다.
업무 관련 부정적 결과는 5점 만점에 2.68점이었다. Finney 등[15]의 연구에서는 이직의도가 2.12점, 결근 및 휴직 경험이 1.60점으로 본 연구보다 낮았다. 이는 국외에서 보고된 바와 같이, 조기 중재와 조직적 지지 프로그램이 이차 피해자의 심리적 부담을 완화하는 데 효과적이었기 때문으로 해석된다[13,14,17,25]. 이러한 국내외 차이는 한국 의료 환경의 특성을 반영한다. 한국에서는 의료인이 환자안전사건 후에도 강한 책임감으로 업무를 지속하고, 동료에게 부담을 전가하는 것을 꺼리는 문화가 있다[26]. 이러한 문화적 특성은 업무 관련 부정적 결과에 영향을 미치는 주요 요인으로, 본 연구 결과를 이해하는데 고려되어야 한다. 향후 연구에서는 문화적 요인을 정교하게 반영하고, 국내외 간호 현장의 차이를 비교하여 문화적 특성이 업무 관련 부정적 결과에 미치는 영향을 규명할 필요가 있다
본 연구에서 투약안전역량과 이차 피해경험의 하위 영역 중 정신적 디스트레스 간의 정적 상관관계가 나타났다. 이는 투약안전역량이 높은 간호사가 업무 상황에 더 민감하게 반응하거나, 책임감을 크게 느낄 가능성을 시사한다. 한편, Jung과 Choi [27]는 적절한 긴장감과 스트레스가 환자안전활동에 긍정적 영향을 미친다고 보고하였다. 이러한 점은 스트레스가 간호사의 업무 수행이나 역량에 복합적으로 작용함을 보여주며, 향후 스트레스의 수준에 따른 간호사의 역량 차이를 규명하는 추가연구가 필요하다.
본 연구에서는 투약안전역량의 하위 영역 중 환자 중심 투약관리가 업무 관련 부정적 결과와 유의한 음의 상관관계를 보였다. Park과 Seomun [7]은 환자 중심 투약관리가 투약안전역량의 핵심 요소로서 환자 안전 증진과 투약안전사건 예방에 기여한다고 보고하였다. 해당 변수 간 관계를 다룬 선행 연구는 매우 부족한 실정으로 직접적인 비교는 어려우나, Yang과 Song [28]은 환자 중심 간호역량이 직무만족과 정적 상관관계를, Kardaş와 Ünlüsoy [29]는 간호사의 전반적 역량이 이직의도와 부적 상관관계를 보인다고 보고하였다. 이러한 결과를 고려할 때, 환자 중심 투약관리를 포함한 투약안전역량과 업무 관련 부정적 결과 간의 관계를 심층적으로 확인하기 위한 반복 연구가 필요하다.
본 연구 결과, 이차 피해경험과 업무 관련 부정적 결과는 유의한 양의 상관관계를 보였다. 선행 연구[19,20,24]에서도 이차 피해경험이 이직 의도, 결근, 소진 등과 연관됨을 보고하며 본 연구 결과와 일치하는 경향을 보였다. Jung 등[19]은 동료와 관리자의 심리적, 정서적 지원이 필요함을 강조하였으며, Kim 등[20]은 기관 차원의 지지 프로그램의 필요성을 Park과 Choi [24]는 조직문화개선, 회복 지원 프로그램, 제도적 장치 마련과 교육 강화의 필요성을 제언하였다. 본 연구 결과는 이차 피해를 지속적으로 모니터링하고, 이를 완화하기 위한 다차원적 전략 마련이 필요함을 뒷받침한다.
본 연구에서는 이차 피해지지와 이차 피해경험, 업무 관련 부정적 결과 간의 양의 상관관계가 나타났다. 이는 동일한 도구를 사용한 Jung 등[19]의 연구에서 보고된 이차 피해지지와 업무 관련 부정적 결과 간의 음의 상관관계와 상반되며, 이차 피해경험과 업무 관련 부정적 결과가 많을수록 간호사들이 다양한 형태의 지지를 인식하거나 요구하는 경향이 함께 나타날 수 있음을 보여준다. 이러한 경향은 Yusof 등[30]이 보고한, 다양한 지지를 경험하고도 이를 불충분하게 인식하는 경향과 유사하다. 이는 이차 피해지지가 충분한 예방 효과를 발휘하지 못했거나, 주로 이차 피해경험이 심각해진 후 제공되었을 가능성을 반영한다. 또한 임상 현장에서는 투약안전사건의 수준이 심각하여 부정적 영향이 클수록 동료나 조직 차원의 더 많은 사후지지가 제공되는 경향이 있다. 이는 경미한 사건은 주변에서 큰 관심을 받지 못하는 반면, 사건의 심각성이 클수록 사후적 지지가 더 적극적으로 개입되는 임상 환경의 특성을 반영한 결과로 해석될 수 있다. 이러한 차이는 본 연구의 시점, 지원체계의 정착 정도, 대상자 구성의 차이에서 기인했을 가능성이 있다. 특히 교육전담간호사 제도는 신규 간호사의 현장 적응과 교육 지원 강화 등을 목적으로 도입 된 만큼, 이차 피해지지에도 영향을 미쳤을 가능성이 있다. Jung 등[19]의 연구가 시행된 시점인 2019년은 교육전담간호사 제도가 국내에 막 도입되던 시기이다. 반면, 본 연구가 시행된 2024년에는 제도가 운영, 정착되어 간호사에 대한 지원이 강화된 시점으로 볼 수 있다. 또한 Jung 등[19]의 연구는 1년 이상 근무한 간호사를 대상으로 한 반면, 본 연구는 3개월 이상 재직 중인 신규 간호사까지 포함하였기 때문에, 이러한 대상자 특성의 차이가 본 연구에서 나타난 이차 피해경험, 이차 피해지지, 업무 관련 부정적 결과 간의 양적 상관관계를 설명할 수 있다. 그러므로 이차 피해지지의 질과 제공 방식이 간호사의 이차 피해경험과 업무 관련 부정적 결과에 미치는 영향을 규명하기 위한 심층적인 추가 연구가 필요하다.
투약안전사건을 비롯한 환자안전사건은 예방이 중요하지만, 발생 시 의료진의 이차 피해를 신속히 파악하고 보고할 체계가 필요하다. 환자 안전 문화 정착과 이차 피해자 지원 프로그램이 효과적으로 시행되면 간호사의 정신적•신체적 부담이 경감되며, 장기적으로 간호사 인력 손실 문제도 완화될 것으로 기대된다. 본 연구에서 이차 피해지지의 하위 영역 중 동료 지지가 가장 낮게 나타나, 간호사들이 동료와의 관계에서 충분한 지지를 경험하지 못했음을 보여주었다. 따라서 동료 및 조직이 함께 비난 없는 문화를 조성하는 것이 중요하며, 의료기관은 체계적인 이차 피해지지 프로그램을 운영하고 지속적으로 평가•관리해야 한다.
본 연구는 임상간호사의 투약안전역량, 이차 피해경험, 이차 피해지지, 업무 관련 부정적 결과의 관계를 통합적으로 탐색함으로써, 투약안전사건 이후 간호사의 경험을 다차원적으로 조명하였다는 점에서 의의가 있다. 본 연구는 관련 변수를 통합적으로 다룬 선행 연구가 부족하여 이론적 근거가 충분히 축적되지 않은 상황에서, 변수 간 관계를 상관분석 수준에서 탐색적으로 파악하였다. 이는 연구 주제의 초기 탐색 단계에서 각 변수 간의 기본적인 연관성을 확인하기 위한 접근으로, 향후 연구에서는 보다 정교한 분석모형을 구축하고 회귀분석 등 고차원적 통계기법을 적용하여 각 요인의 영향력을 검증할 필요가 있다. 또한, 투약안전사건의 심각도나 발생 빈도 등의 변수를 통제하지 못하였는데, 이는 자기보고식 설문을 통해 투약안전사건 경험을 측정함에 따라 응답자의 인식이나 보고 행태에 영향을 받을 가능성이 있기 때문이다. 그럼에도 불구하고 본 연구는 투약안전역량이 이차 피해경험과 업무 관련 부정적 결과, 그리고 이차 피해지지 간의 관계를 실증적으로 검증함으로써, 환자안전과 간호사 근무환경 개선은 물론 이차 피해자 지원체계 구축을 위한 기초 근거를 제시했다는 점에서 학문적•실무적 가치가 있다.
본 연구는 임상간호사를 대상으로 투약안전역량, 이차 피해경험, 이차 피해지지, 업무 관련 부정적 결과의 수준을 파악하고, 이들 간의 관계를 확인하고자 수행되었다. 연구 결과, 간호사의 투약안전역량 하위 영역 중 환자 중심 투약관리가 업무 관련 부정적 결과와 부적 상관관계를 보였다. 이는 투약안전역량 강화를 통해 간호 인력의 이탈을 예방하고, 지속 가능한 근무 환경 조성이 가능함을 시사한다.
한편, 투약안전역량과 정신적 디스트레스 간에는 유의한 양의 상관관계가 나타나, 높은 수준의 역량이 간호사의 심리적 부담으로 작용할 수 있음을 보여준다. 따라서 역량 강화를 위한 교육과 더불어 정서적 부담을 완화할 심리적 지원이 병행되어야 한다.
또한 이차 피해경험은 업무 관련 부정적 결과와 유의한 양의 상관관계를 보여, 이차 피해가 간호사의 직무 지속성에 부정적 영향을 미칠 수 있음을 시사한다. 이에 따라 의료기관은 투약안전사건 이후 간호사의 정서적•신체적 어려움을 완화할 수 있는 맞춤형 지원체계를 마련하고, 이차 피해지지가 실제 회복에 기여할 수 있도록 체계적으로 운영해야 한다.

Author contributions

Conceptualization: AC, YL, MK, JYL. Methodology: AC. Formal analysis: AC. Investigation: AC. Data curation: AC. Visualization: AC. Supervision: YL, MK, JYL. Writing - original draft: AC, YL, JYL. Writing - review & editing: AC, YL, MK. All authors read and agreed to the published version of the manuscript.

Conflict of interest

None.

Funding

None.

Data availability

Please contact the corresponding author for data availability.

Acknowledgments

None.

Table 1.
General Characteristics of the Study Participants (N=142)
Characteristic Category n (%) M±SD
Age (yr) <27 46 (32.4) 30.09±6.00
27~29 31 (21.8)
≥30 65 (45.8)
Gender Woman 128 (90.1) -
Man 14 (9.9)
Marital status Single 107 (75.4) -
Married 35 (24.6)
Education level Bachelor’s 126 (88.7) -
≧Master’s 16 (11.3)
Clinical experience (yr) <3 48 (33.8) 6.94±6.03
3~6 37 (26.1)
≥7 57 (40.1)
Current department experience (yr) <3 69 (48.6) 4.22±4.01
3~6 45 (31.7)
≥7 28 (19.7)
Work unit Ward 84 (59.1) -
ICU 41 (28.9)
ER 17 (12.0)
Patient safety education experience Yes 138 (97.2) -
No 4 (2.8)

M=mean; SD=standard deviation; ICU=intensive care unit; ER=emergency room.

Table 2.
Characteristics of Medication Safety Event Experience (N=142)
Variable Category n (%)
Patient safety event type Near miss 116 (81.7)
Adverse event 55 (38.7)
Sentinel event 0
Type of incident Dosage error 68 (47.9)
Medication error 40 (28.2)
Timing error 36 (25.4)
Patient-related error 30 (21.1)
Route error 16 (11.3)
Work shift Day 81 (57.0)
Evening 48 (33.8)
Night 48 (33.8)
Medication form Injection 120 (84.5)
Tablet 19 (13.4)
Powder 10 (7.0)
Liquid (syrup) 4 (2.8)
Others 2 (1.4)
Prescription method Computerized order entry 134 (94.4)
Verbal order 5 (3.5)
Others 4 (2.8)

All variables represent multiple-response data.

Table 3.
Levels of Medication Safety Competence, Second Victim Experience, Second Victim Support, and Negative Work Outcomes among Participants (N=142)
Variable No. of items M±SD Min Max Range Item score
M±SD
Medication safety competence 36 147.67±15.50 114 180 36~180 4.10±0.43
 Patient-centered medication management 9 37.79±4.45 28 45 9~45 4.20±0.49
 Improvement of problem situation 8 33.00±4.45 24 40 8~40 4.13±0.49
 Management of influence factors 6 23.80±3.09 17 30 6~30 3.97±0.52
 Crisis management 6 24.97±2.79 18 30 6~30 4.16± .47
 Interdisciplinary collaboration 4 15.63±2.20 11 20 4~20 3.91±0.55
 Responsibility as a nursing professional 3 12.47±1.45 9 15 3~15 4.16±0.48
Second victim experience 12 3.37±0.61 2.00 4.75 1~5 -
 Psychological distress 4 4.04±0.68 2.00 5.00 1~5
 Physical distress 4 3.08±0.99 1.00 5.00 1~5
 Professional self-efficacy 4 3.00±0.55 1.75 4.50 1~5
Second victim support 13 3.12±0.30 2.23 4.00 1~5 -
 Colleague support 4 2.77±0.37 2.00 4.00 1~5
 Supervisor support 4 3.10±0.39 2.00 4.00 1~5
 Organizational support 3 3.62±0.63 2.33 5.00 1~5
 Non-work-related support 2 3.13±0.72 1.00 5.00 1~5
Negative work outcome 4 2.68±0.72 1.00 5.00 1~5 -
 Turnover intentions 2 3.12±0.99 1.00 5.00
 Absenteeism 2 2.24±0.71 1.00 5.00

M=mean; SD=standard deviation; Min=minimum; Max=maximum.

Table 4.
Differences in Medication Safety Competence, Second Victim Experience, Second Victim Support, and Negative Work Outcomes by General Characteristics (N=142)
Characteristic Group Medication safety competence Second victim experience Second victim support Negative work outcomes
M±SD t or F (p) Scheffe M±SD t or F (p) Scheffe M±SD t or F (p) Scheffe M±SD t or F (p) Scheffe
Age (yr) <27a 3.94±0.34 5.47 (.005) 3.35±0.064 0.26 (.773) 3.20±0.31 2.17 (.118) 2.75±0.72 0.40 (.671)
27~29b 4.13±0.40 a<c 3.33±0.53 3.08±0.27 2.69±0.74
≥30c 4.20±0.43 3.41±0.64 3.10±0.29 2.63±0.71
Gender Woman 4.10±0.42 0.08 (.933) 3.39±0.61 -0.78 (.435) 3.13±0.30 -1.35 (.180) 2.73±0.71 -2.31 (.022)
Man 4.11±0.50 3.25±0.64 3.02±0.27 2.27±0.64
Marital status Unmarried 4.06±0.40 -1.91 (.062) 3.33±0.61 -1.35 (.181) 3.13±0.29 0.44 (.660) 2.66±0.70 -0.52 (.607)
Married 4.24±0.50 3.49±0.62 3.10±0.32 2.74±0.76
Education level Bachelor’s 4.07±0.41 -2.27 (.036) 3.36±0.62 -0.42 (.678) 3.13±0.29 1.07 (.285) 2.68±0.71 -0.22 (.825)
≧Master’s 4.38±0.52 3.43±0.58 3.05±0.35 2.72±0.82
Clinical experience (yr) <3a 3.94±0.36 7.23 (.001) 3.36±0.62 0.89 (.415) 3.18±0.29 1.38 (.254) 2.68±0.72 0.13 (.881)
3~6b 4.10±0.36 a<c 3.28±0.65 3.12±0.28 2.73±0.69
≥7c 4.24±0.48 3.45±0.59 3.08±0.30 2.65±0.74
Current unit experience (yr) <3a 3.99±0.38 6.74 (.002) 3.39±0.58 0.16 (.856) 3.18±0.27 3.20 (.044) 2.76±0.69 1.06 (.350)
3~6b 4.14±0.45 a<c 3.33±0.64 3.09±0.30 2.66±0.62
≥7c 4.32±0.43 3.39±0.68 3.03±0.33 2.53±0.92
Work unit Ward 4.08±0.42 0.88 (.415) 3.38±0.56 0.04 (.963) 3.13±0.28 1.47 (.234) 2.79±0.67 3.61 (.030)
ICU 4.17±0.47 3.36±0.63 3.08±0.29 2.43±0.69 a>b
ER 4.03±0.41 3.35±0.82 3.22±0.36 2.75±0.87
Patient safety education experience Yes 4.11±0.43 1.10 (.272) 3.37±0.62 -0.28 (.777) 3.12±0.30 -0.61 (.541) 2.66±0.71 -1.98 (.049)
No 3.87±0.41 3.46±0.38 3.21±0.30 3.38±0.43

M=mean; SD=standard deviation; ICU=intensive care unit; ER=emergency room.

Table 5.
Correlations among Medication Safety Competence, Second Victim Experience, Second Victim Support, and Negative Work Outcomes (N=142)
Variable Medication safety competence Second victim experience Second victim support Negative work outcomes
1 1-1 1-2 1-3 1-4 1-5 1-6 2 2-1 2-2 2-3 3 3-1 3-2 3-3 3-4 4 4-1 4-2
r (p)
1. medication safety competence 1
1-1. Patient-centered medication management .87* 1
(<.001)
1-2. Improvement of problem situation .93* .81* 1
(<.001) (<.001)
1-3. Management of influence factors .89* .66* .80* 1
(<.001) (<.001) (<.001)
1-4. Crisis management .88* .67* .74* .75* 1
(<.001) (<.001) (<.001) (.001)
1-5. Interdisciplinary collaboration .81* .54* .68* .78* .72* 1
(<.001) (<.001) (<.001) (<.001) (<.001)
1-6. Responsibility as A nursing professional .73* .52* .59* .60* .73* .65* 1
(<.001) (<.001) (<.001) (<.001) (<.001) (<.001)
2. second victim experience .08 -.05 .07 .11 .14 .14 .08 1
(.364) (.572) (.423) (.212) (.091) (.100) (.359)
2-1. Psychological distress .21* .07 .19* .22* .28* .20* .19* .79* 1
(.013) (.422) (.023) (.009) (<.001) (.019) (.024) (<.001)
2-2. Physical distress -.02 -.11 -.01 .02 .03 .06 .01 .91* .56* 1
(.857) (.198) (.887) (.840) (.692) (.465) (.922) (<.001) (<.001)
2-3. Professional self-efficacy .03 -.05 .01 .05 .07 .11 .01 .75* .42* .55* 1
(.724) (.568) (.867) (.520) (.417) (.186) (.885) (<.001) (<.001) (<.001)
3. second victim support -.14 -.22* -.13 -.09 -.08 -.07 -.06 .53* .37* .50* .42* 1
(.090) (.010) (.138) (.279) (.319) (.379) (.491) (<.001) (<.001) (<.001) (<.001)
3-1. Colleague support -.25* -.28* -.25* -.17* -.25* -.11 -.17* .20* .06 .20* .24* .54* 1
(.002) (<.001) (.003) (.040) (.003) (.205) (.044) (.016) (.461) (.017) (.004) (<.001)
3-2. Supervisor support .12 .15 .14 .08 .05 .09 .05 .21* .03 .23* .26* .57* .21* 1
(.159) (.075) (.105) (.370) (.520) (.297) (.592) (.011) (.694) (.005) (.002) (<.001) (.014)
3-3. Organizational support -.01 -.14 -.02 .04 .08 .03 .03 .50* .46* .42* .36* .70* .02 .20* 1
(.869) (.107) (.856) (.635) (.355) (.718) (.763) (<.001) (<.001) (<.001) (<.001) (<.001) (.824) (.017)
3-4. Non-work-related support -.23* -.28* -.20* -.20* -.13 -.23* -.06 .31* .28* .32* .118 .57* .16 -.06 .30* 1
(.006) (<.001) (.015) (.016) (.126) (.007) (.447) (<.001) (<.001) (<.001) (.162) (<.001) (.052) (.469) (<.001)
4. negative work outcomes -.07 -.17* -.07 .01 -.01 .01 -.09 .56* .24* .58* .53* .59* .24* .31* .46* .36* 1
(.395) (.047) (.394) (.877) (.891) (.866) (.280) (<.001) (.004) (<.001) (<.001) (<.001) (.004) (<.001) (<.001) (<.001)
4-1. turnover intentions -.04 -.15 -.04 .01 .05 .04 -.06 .61* .35* .62* .52* .55* .22* .22* .47* .38* .89* 1
(.621) (.072) (.662) (.903) (.573) (.631) (.491) (<.001) (<.001) (<.001) (<.001) (<.001) (.008) (.009) (<.001) (<.001) (<.001)
4-2. Absenteeism -.09 -.13 -.09 .01 -.09 -.03 -.10 .28* .01 .32* .35* .41* .18* .32* .28* .20* .78* .41* 1
(.136) (.269) (.888) (.291) (.747) (.223) (<.001) (.939) (<.001) (<.001) (<.001) (.035) (<.001) (<.001) (.015) (<.001) (<.001)

Values are Pearson’s correlation coefficients (p-values in parentheses).

*p<.05.

  • 1. Korea Patient Safety Reporting and Learning System. 2023 Patient safety statistics yearbook [Internet]. Seoul: Korea Patient Safety Reporting and Learning System; 2024 [cited 2025 Dec 20]. Available from: https://www.kops.or.kr/portal/board/statAnlrpt/boardDetail.do
  • 2. Walsh EK, Hansen CR, Sahm LJ, Kearney PM, Doherty E, Bradley CP. Economic impact of medication error: a systematic review. Pharmacoepidemiology and Drug Safety. 2017;26(5):481-497. https://doi.org/10.1002/pds.4188
  • 3. Yuk S, Yu S. The effect of professional autonomy and nursing work environment on nurses’ patient safety activities: a perspective on magnet hospitals. Journal of Nursing Management. 2023;2023:5587501. https://doi.org/10.1155/2023/5587501
  • 4. Lee MA, Kang S, Hyun HS. Relationship among nursing professionalism, nursing work environment, and patient safety nursing activities in general hospital nurses. Journal of Korean Academy of Nursing Administration. 2019;25(4):317-328. https://doi.org/10.11111/jkana.2019.25.4.317
  • 5. Vanhaecht K, Seys D, Russotto S, Strametz R, Mira J, Sigurgeirsdóttir S, et al. An evidence and consensus-based definition of second victim: a strategic topic in healthcare quality, patient safety, person-centeredness and human resource management. International Journal of Environmental Research and Public Health. 2022;19:(24):16869. https://doi.org/10.3390/ijerph192416869
  • 6. Lappalainen M, Härkänen M, Kvist T. The relationship between nurse manager's transformational leadership style and medication safety. Scandinavian Journal of Caring Sciences. 2020;34(2):357-369. https://doi.org/10.1111/scs.12737
  • 7. Park J, Seomun G. Development and validation of the medication safety competence scale for nurses. Western Journal of Nursing Research. 2021;43(7):686-697. https://doi.org/10.1177/0193945920969929
  • 8. Kim YH, Ryu S. Influence of medication errors and medication safety competency on medication safety nursing activities among general hospital nurses. Nursing and Health Issues. 2024;29(2):199-208. https://doi.org/10.33527/nhi2024.29.2.199
  • 9. Bredenkamp K, Raschka MJ, Holmes A. A review of medication errors and the second victim in pediatric pharmacy. Journal of Pediatric Pharmacology and Therapeutics. 2024;29(2):100-106. https://doi.org/10.5863/1551-6776-29.2.100
  • 10. Burlison JD, Scott SD, Browne EK, Thompson SG, Hoffman JM. The second victim experience and support tool: validation of an organizational resource for assessing second victim effects and the quality of support resources. Journal of Patient Safety. 2017;13(2):93-102. https://doi.org/10.1097/PTS.0000000000000129
  • 11. White RM, Delacroix R. Second victim phenomenon: is 'just culture' a reality? An integrative review. Applied Nursing Research. 2020;56:151319. https://doi.org/10.1016/j.apnr.2020.151319
  • 12. Burlison JD, Quillivan RR, Scott SD, Johnson S, Hoffman JM. The effects of the second victim phenomenon on work-related outcomes: connecting self-reported caregiver distress to turnover intentions and absenteeism. Journal of Patient Safety. 2021;17(3):195-199. https://doi.org/10.1097/PTS.0000000000000301
  • 13. Busch IM, Moretti F, Campagna I, Benoni R, Tardivo S, Wu AW, et al. Promoting the psychological well-being of healthcare providers facing the burden of adverse events: a systematic review of second victim support resources. International Journal of Environmental Research and Public Health. 2021;18:(10):5080. https://doi.org/10.3390/ijerph18105080
  • 14. Edrees H, Connors C, Paine L, Norvell M, Taylor H, Wu AW. Implementing the RISE second victim support programme at the Johns Hopkins Hospital: a case study. BMJ Open. 2016;6:(9):e011708. https://doi.org/10.1136/bmjopen-2016-011708
  • 15. Finney RE, Torbenson VE, Riggan KA, Weaver AL, Long ME, Allyse MA, et al. Second victim experiences of nurses in obstetrics and gynaecology: a Second Victim Experience and Support Tool survey. Journal of Nursing Management. 2021;29(4):642-652. https://doi.org/10.1111/jonm.13198
  • 16. Jung S, Jung SH. Effects of second victim experiences after patient safety incidents on nursing practice changes in Korean clinical nurses: the mediating effects of coping behaviors. Journal of Korean Academy of Nursing. 2021;51(4):489-504. https://doi.org/10.4040/jkan.21089
  • 17. Mira JJ, Carrillo I, Guilabert M, Lorenzo S, Pérez-Pérez P, Silvestre C, et al. The second victim phenomenon after a clinical error: the design and evaluation of a website to reduce caregivers’ emotional responses after a clinical error. Journal of Medical Internet Research. 2017;19:(6):e203. https://doi.org/10.2196/jmir.7840
  • 18. Sun S, Shang S, Sun H. Patient safety competence and second victim experience among nurses. Nurse Education in Practice. 2024;76:103663. https://doi.org/10.21203/rs.3.rs-4911322/v1
  • 19. Jung SJ, Lee YJ, Bae SH. Influence of clinical nurses’ second-victim experience and second-victim support in relation to patient safety incidents on their work-related outcomes. Journal of Korean Academy of Nursing Administration. 2022;28(4):331-341. https://doi.org/10.11111/jkana.2022.28.4.331
  • 20. Kim EM, Kim SA, Kim JI, Lee JR, Na SG. Effects of nurse’s second victim experiences on third victim experiences: multiple mediation effects of second victim supports. Quality Improvement in Health Care. 2017;23(2):23-24. https://doi.org/10.14371/QIH.2017.23.2.23
  • 21. Jeong DE, Lee YW, Ryu KM, Woo HS, Kim JD. Influence of problem-solving ability and self-efficacy on medication safety competency among clinical nurses. Journal of Convergence for Information Technology. 2022;12(5):21-31. https://doi.org/10.22156/CS4SMB.2022.12.05.021
  • 22. Kim GH, Lee HJ. Factors influencing clinical nurses’ medication safety competence. Journal of Korean Academy of Fundamental of Nursing. 2022;29(2):237-247. https://doi.org/10.7739/jkafn.2022.29.2.237
  • 23. Song G, Kim O. Influences of organizational communication satisfaction and safety climate on medication safety competence in hospital nurses. Journal of Korean Academy of Nursing Administration. 2022;28(3):297-306. https://doi.org/10.11111/jkana.2022.28.3.297
  • 24. Park HJ, Choi HK. Second victim experience in clinical nurses: an integrative review. Nursing Innovation. 2024;28(1):29-41. https://doi.org/10.38083/NIN.28.1.202402.029
  • 25. Järvisalo P, Haatainen K, Von Bonsdorff M, Turunen H, Härkänen M. Interventions to support nurses as second victims of patient safety incidents: a qualitative study of nurse managers' perceptions. Journal of Global Nursing Research. 2024;80(6):2552-2565. https://doi.org/10.1111/jan.16013
  • 26. Kim KS, Kwon SH, Kim JA, Cho S. Nurses’ perceptions of medication errors and their contributing factors in South Korea. Journal of Nursing Management. 2011;19(3):346-353. https://doi.org/10.1111/j.1365-2834.2011.01249.x
  • 27. Jung S, Choi E. The impact of job stress on the patient safety nursing activity among nurses in small-medium sized general hospitals. Korean Journal of Occupational Health Nursing. 2017;26(1):47-54. https://doi.org/10.5807/kjohn.2017.26.1.47
  • 28. Yang KS, Song MO. The effects of patient-centered nursing competency, safety culture climate, and job satisfaction of clinical nurses on patient participation. Journal of the Korea Academia-Industrial Cooperation Society. 2023;24(9):569-580. https://doi.org/10.5762/KAIS.2023.24.9.569
  • 29. Kardaş Ç, Ünlüsoy Dincer N. A latent variable of holistic nursing competence and turnover intention: Job satisfaction. Journal of Holistic Nursing. 2024;43(3):220-231. https://doi.org/10.1177/08980101241241172
  • 30. Yusof YJ, Ng QX, Teoh SE, Loh CY, Xin X, Thumboo J. Validation and use of the Second Victim Experience and Support Tool questionnaire: a scoping review. Public Health. 2023;223:183-192. https://doi.org/10.1016/j.puhe.2023.08.003

Figure & Data

References

    Citations

    Citations to this article as recorded by  

      Download Citation

      Download a citation file in RIS format that can be imported by all major citation management software, including EndNote, ProCite, RefWorks, and Reference Manager.

      Format:

      Include:

      The Relationship of Medication Safety Competence, Second Victim Experiences, Second Victim Support, and Negative Work Outcomes among Clinical Nurses
      J Korean Acad Nurs Adm. 2025;31(5):493-503.   Published online December 31, 2025
      Download Citation
      Download a citation file in RIS format that can be imported by all major citation management software, including EndNote, ProCite, RefWorks, and Reference Manager.

      Format:
      • RIS — For EndNote, ProCite, RefWorks, and most other reference management software
      • BibTeX — For JabRef, BibDesk, and other BibTeX-specific software
      Include:
      • Citation for the content below
      The Relationship of Medication Safety Competence, Second Victim Experiences, Second Victim Support, and Negative Work Outcomes among Clinical Nurses
      J Korean Acad Nurs Adm. 2025;31(5):493-503.   Published online December 31, 2025
      Close
      The Relationship of Medication Safety Competence, Second Victim Experiences, Second Victim Support, and Negative Work Outcomes among Clinical Nurses
      The Relationship of Medication Safety Competence, Second Victim Experiences, Second Victim Support, and Negative Work Outcomes among Clinical Nurses
      Characteristic Category n (%) M±SD
      Age (yr) <27 46 (32.4) 30.09±6.00
      27~29 31 (21.8)
      ≥30 65 (45.8)
      Gender Woman 128 (90.1) -
      Man 14 (9.9)
      Marital status Single 107 (75.4) -
      Married 35 (24.6)
      Education level Bachelor’s 126 (88.7) -
      ≧Master’s 16 (11.3)
      Clinical experience (yr) <3 48 (33.8) 6.94±6.03
      3~6 37 (26.1)
      ≥7 57 (40.1)
      Current department experience (yr) <3 69 (48.6) 4.22±4.01
      3~6 45 (31.7)
      ≥7 28 (19.7)
      Work unit Ward 84 (59.1) -
      ICU 41 (28.9)
      ER 17 (12.0)
      Patient safety education experience Yes 138 (97.2) -
      No 4 (2.8)
      Variable Category n (%)
      Patient safety event type Near miss 116 (81.7)
      Adverse event 55 (38.7)
      Sentinel event 0
      Type of incident Dosage error 68 (47.9)
      Medication error 40 (28.2)
      Timing error 36 (25.4)
      Patient-related error 30 (21.1)
      Route error 16 (11.3)
      Work shift Day 81 (57.0)
      Evening 48 (33.8)
      Night 48 (33.8)
      Medication form Injection 120 (84.5)
      Tablet 19 (13.4)
      Powder 10 (7.0)
      Liquid (syrup) 4 (2.8)
      Others 2 (1.4)
      Prescription method Computerized order entry 134 (94.4)
      Verbal order 5 (3.5)
      Others 4 (2.8)
      Variable No. of items M±SD Min Max Range Item score
      M±SD
      Medication safety competence 36 147.67±15.50 114 180 36~180 4.10±0.43
       Patient-centered medication management 9 37.79±4.45 28 45 9~45 4.20±0.49
       Improvement of problem situation 8 33.00±4.45 24 40 8~40 4.13±0.49
       Management of influence factors 6 23.80±3.09 17 30 6~30 3.97±0.52
       Crisis management 6 24.97±2.79 18 30 6~30 4.16± .47
       Interdisciplinary collaboration 4 15.63±2.20 11 20 4~20 3.91±0.55
       Responsibility as a nursing professional 3 12.47±1.45 9 15 3~15 4.16±0.48
      Second victim experience 12 3.37±0.61 2.00 4.75 1~5 -
       Psychological distress 4 4.04±0.68 2.00 5.00 1~5
       Physical distress 4 3.08±0.99 1.00 5.00 1~5
       Professional self-efficacy 4 3.00±0.55 1.75 4.50 1~5
      Second victim support 13 3.12±0.30 2.23 4.00 1~5 -
       Colleague support 4 2.77±0.37 2.00 4.00 1~5
       Supervisor support 4 3.10±0.39 2.00 4.00 1~5
       Organizational support 3 3.62±0.63 2.33 5.00 1~5
       Non-work-related support 2 3.13±0.72 1.00 5.00 1~5
      Negative work outcome 4 2.68±0.72 1.00 5.00 1~5 -
       Turnover intentions 2 3.12±0.99 1.00 5.00
       Absenteeism 2 2.24±0.71 1.00 5.00
      Characteristic Group Medication safety competence Second victim experience Second victim support Negative work outcomes
      M±SD t or F (p) Scheffe M±SD t or F (p) Scheffe M±SD t or F (p) Scheffe M±SD t or F (p) Scheffe
      Age (yr) <27a 3.94±0.34 5.47 (.005) 3.35±0.064 0.26 (.773) 3.20±0.31 2.17 (.118) 2.75±0.72 0.40 (.671)
      27~29b 4.13±0.40 a<c 3.33±0.53 3.08±0.27 2.69±0.74
      ≥30c 4.20±0.43 3.41±0.64 3.10±0.29 2.63±0.71
      Gender Woman 4.10±0.42 0.08 (.933) 3.39±0.61 -0.78 (.435) 3.13±0.30 -1.35 (.180) 2.73±0.71 -2.31 (.022)
      Man 4.11±0.50 3.25±0.64 3.02±0.27 2.27±0.64
      Marital status Unmarried 4.06±0.40 -1.91 (.062) 3.33±0.61 -1.35 (.181) 3.13±0.29 0.44 (.660) 2.66±0.70 -0.52 (.607)
      Married 4.24±0.50 3.49±0.62 3.10±0.32 2.74±0.76
      Education level Bachelor’s 4.07±0.41 -2.27 (.036) 3.36±0.62 -0.42 (.678) 3.13±0.29 1.07 (.285) 2.68±0.71 -0.22 (.825)
      ≧Master’s 4.38±0.52 3.43±0.58 3.05±0.35 2.72±0.82
      Clinical experience (yr) <3a 3.94±0.36 7.23 (.001) 3.36±0.62 0.89 (.415) 3.18±0.29 1.38 (.254) 2.68±0.72 0.13 (.881)
      3~6b 4.10±0.36 a<c 3.28±0.65 3.12±0.28 2.73±0.69
      ≥7c 4.24±0.48 3.45±0.59 3.08±0.30 2.65±0.74
      Current unit experience (yr) <3a 3.99±0.38 6.74 (.002) 3.39±0.58 0.16 (.856) 3.18±0.27 3.20 (.044) 2.76±0.69 1.06 (.350)
      3~6b 4.14±0.45 a<c 3.33±0.64 3.09±0.30 2.66±0.62
      ≥7c 4.32±0.43 3.39±0.68 3.03±0.33 2.53±0.92
      Work unit Ward 4.08±0.42 0.88 (.415) 3.38±0.56 0.04 (.963) 3.13±0.28 1.47 (.234) 2.79±0.67 3.61 (.030)
      ICU 4.17±0.47 3.36±0.63 3.08±0.29 2.43±0.69 a>b
      ER 4.03±0.41 3.35±0.82 3.22±0.36 2.75±0.87
      Patient safety education experience Yes 4.11±0.43 1.10 (.272) 3.37±0.62 -0.28 (.777) 3.12±0.30 -0.61 (.541) 2.66±0.71 -1.98 (.049)
      No 3.87±0.41 3.46±0.38 3.21±0.30 3.38±0.43
      Variable Medication safety competence Second victim experience Second victim support Negative work outcomes
      1 1-1 1-2 1-3 1-4 1-5 1-6 2 2-1 2-2 2-3 3 3-1 3-2 3-3 3-4 4 4-1 4-2
      r (p)
      1. medication safety competence 1
      1-1. Patient-centered medication management .87* 1
      (<.001)
      1-2. Improvement of problem situation .93* .81* 1
      (<.001) (<.001)
      1-3. Management of influence factors .89* .66* .80* 1
      (<.001) (<.001) (<.001)
      1-4. Crisis management .88* .67* .74* .75* 1
      (<.001) (<.001) (<.001) (.001)
      1-5. Interdisciplinary collaboration .81* .54* .68* .78* .72* 1
      (<.001) (<.001) (<.001) (<.001) (<.001)
      1-6. Responsibility as A nursing professional .73* .52* .59* .60* .73* .65* 1
      (<.001) (<.001) (<.001) (<.001) (<.001) (<.001)
      2. second victim experience .08 -.05 .07 .11 .14 .14 .08 1
      (.364) (.572) (.423) (.212) (.091) (.100) (.359)
      2-1. Psychological distress .21* .07 .19* .22* .28* .20* .19* .79* 1
      (.013) (.422) (.023) (.009) (<.001) (.019) (.024) (<.001)
      2-2. Physical distress -.02 -.11 -.01 .02 .03 .06 .01 .91* .56* 1
      (.857) (.198) (.887) (.840) (.692) (.465) (.922) (<.001) (<.001)
      2-3. Professional self-efficacy .03 -.05 .01 .05 .07 .11 .01 .75* .42* .55* 1
      (.724) (.568) (.867) (.520) (.417) (.186) (.885) (<.001) (<.001) (<.001)
      3. second victim support -.14 -.22* -.13 -.09 -.08 -.07 -.06 .53* .37* .50* .42* 1
      (.090) (.010) (.138) (.279) (.319) (.379) (.491) (<.001) (<.001) (<.001) (<.001)
      3-1. Colleague support -.25* -.28* -.25* -.17* -.25* -.11 -.17* .20* .06 .20* .24* .54* 1
      (.002) (<.001) (.003) (.040) (.003) (.205) (.044) (.016) (.461) (.017) (.004) (<.001)
      3-2. Supervisor support .12 .15 .14 .08 .05 .09 .05 .21* .03 .23* .26* .57* .21* 1
      (.159) (.075) (.105) (.370) (.520) (.297) (.592) (.011) (.694) (.005) (.002) (<.001) (.014)
      3-3. Organizational support -.01 -.14 -.02 .04 .08 .03 .03 .50* .46* .42* .36* .70* .02 .20* 1
      (.869) (.107) (.856) (.635) (.355) (.718) (.763) (<.001) (<.001) (<.001) (<.001) (<.001) (.824) (.017)
      3-4. Non-work-related support -.23* -.28* -.20* -.20* -.13 -.23* -.06 .31* .28* .32* .118 .57* .16 -.06 .30* 1
      (.006) (<.001) (.015) (.016) (.126) (.007) (.447) (<.001) (<.001) (<.001) (.162) (<.001) (.052) (.469) (<.001)
      4. negative work outcomes -.07 -.17* -.07 .01 -.01 .01 -.09 .56* .24* .58* .53* .59* .24* .31* .46* .36* 1
      (.395) (.047) (.394) (.877) (.891) (.866) (.280) (<.001) (.004) (<.001) (<.001) (<.001) (.004) (<.001) (<.001) (<.001)
      4-1. turnover intentions -.04 -.15 -.04 .01 .05 .04 -.06 .61* .35* .62* .52* .55* .22* .22* .47* .38* .89* 1
      (.621) (.072) (.662) (.903) (.573) (.631) (.491) (<.001) (<.001) (<.001) (<.001) (<.001) (.008) (.009) (<.001) (<.001) (<.001)
      4-2. Absenteeism -.09 -.13 -.09 .01 -.09 -.03 -.10 .28* .01 .32* .35* .41* .18* .32* .28* .20* .78* .41* 1
      (.136) (.269) (.888) (.291) (.747) (.223) (<.001) (.939) (<.001) (<.001) (<.001) (.035) (<.001) (<.001) (.015) (<.001) (<.001)
      Table 1. General Characteristics of the Study Participants (N=142)

      M=mean; SD=standard deviation; ICU=intensive care unit; ER=emergency room.

      Table 2. Characteristics of Medication Safety Event Experience (N=142)

      All variables represent multiple-response data.

      Table 3. Levels of Medication Safety Competence, Second Victim Experience, Second Victim Support, and Negative Work Outcomes among Participants (N=142)

      M=mean; SD=standard deviation; Min=minimum; Max=maximum.

      Table 4. Differences in Medication Safety Competence, Second Victim Experience, Second Victim Support, and Negative Work Outcomes by General Characteristics (N=142)

      M=mean; SD=standard deviation; ICU=intensive care unit; ER=emergency room.

      Table 5. Correlations among Medication Safety Competence, Second Victim Experience, Second Victim Support, and Negative Work Outcomes (N=142)

      Values are Pearson’s correlation coefficients (p-values in parentheses).

      p<.05.

      TOP