• KANAD
  • Contact us
  • E-Submission
ABOUT
BROWSE ARTICLES
EDITORIAL POLICY
FOR CONTRIBUTORS

Articles

Original Article

종합병원 임상간호사의 윤리적 민감성, 긍정 간호조직문화, 돌봄효능감이 인간중심돌봄에 미치는 영향

The Influence of Clinical Nurses’ Ethical Sensitivity, Positive Nursing Organizational Culture, and Caring Efficacy on Person-Centered Care in General Hospitals

Journal of Korean Academy of Nursing Administration 2026;32(2):104-113.
Published online: March 31, 2026

1경상국립대학교병원 간호사

2경상국립대학교 간호학과 교수

1Registered Nurse, Gyeongsang National University Hospital

2Professor, College of Nursing, Gyeongsang National University

Corresponding author: So Young Choi College of Nursing, Gyeongsang National University, 861-15 Jinju-daero, JinJu 52727, Korea Tel: +82-55-772-8241. E-mail: css4214@gnu.ac.kr
- 이 논문은 제1저자 김수정의 석사학위논문의 축약본임.
- This article is a condensed form of the first author Soo-Jung Kim’s master's thesis from the Graduate School of Gyeongsang National University.
• Received: July 8, 2025   • Revised: December 16, 2025   • Accepted: December 30, 2025

© 2026 Korean Academy of Nursing Administration

This is an Open Access article distributed under the terms of the Creative Commons Attribution Non-Commercial License (http://creativecommons.org/licenses/by-nc/4.0/) which permits unrestricted non-commercial use, distribution, and reproduction in any medium, provided the original work is properly cited.

  • 295 Views
  • 17 Download
next
  • Purpose
    This study aimed to identify the influence of ethical sensitivity, positive nursing organizational culture, and caring efficacy on person-centered care among clinical nurses in general hospitals.
  • Methods
    The participants were 181 clinical nurses working in general hospitals located in Jinju and Changwon cities, Gyeongnam Province, South Korea. Data were collected from December 17, 2024, to January 25, 2025. Data analysis was performed using SPSS Statistics 27.0 and included descriptive statistics, the independent t-test, one-way analysis of variance, Pearson correlation analysis, and multiple regression analysis.
  • Results
    The participants’ mean scores were 4.16±0.42 for ethical sensitivity, 3.76±0.64 for positive nursing organizational culture, 4.23±0.67 for caring efficacy, and 3.90±0.50 for person-centered care. Person-centered care showed a significant positive correlation with ethical sensitivity (r=.49, p<.001), positive nursing organizational culture (r=.54, p<.001), and caring efficacy (r=.58, p<.001). Caring efficacy had the most significant effect on person-centered care (β=.41, p<.001), followed by positive nursing organizational culture (β=.30, p<.001) and ethical sensitivity (β=.19, p=.005). These variables accounted for 47.8% of the variance in person-centered care.
  • Conclusion
    To improve person-centered care, educational programs aimed at improving ethical sensitivity and caring efficacy, along with the establishment of a nursing organizational culture based on trust and respect, should be implemented.
1. 연구의 필요성
의료 분야에서 질병 치료 중심의 패러다임이 대상자 중심으로 전환됨에 따라[1], 인간중심돌봄이 점차 중요시되고 있다. 인간중심돌봄은 사망률과 응급상황의 발생을 줄이고, 투약 오류 및 낙상사고 감소에도 기여하는 것으로 나타나[2] 임상간호사가 갖추어야 할 중요한 요소 중 하나라고 볼 수 있다. 하지만 국내 인간중심돌봄 관련 연구는 주로 요양시설을 중심으로 이루어졌으며(63.2%), 중환자실 26.3%, 병동 5.3% 등[3] 종합병원을 배경으로 한 연구는 상대적으로 부족하다. 종합병원은 급박한 환경과 중증도 높은 간호 업무로 인해 환자와의 깊이 있는 상호작용을 제한할 수 있으며[4], 선행 연구에서도 종합병원 간호사들이 주로 신체적 간호에 집중하고 환자의 개별적 요구를 반영하지 못한 채 업무 중심적으로 소통하는 모습이 관찰된 바 있어[5] 복잡하고 역동적인 종합병원 특유의 환경에서 인간중심돌봄을 강화할 수 있도록 전략을 모색하기 위한 연구가 필요하다.
McCormack과 McCance의 인간중심돌봄 프레임워크에 따르면 인간중심돌봄은 간호사의 ‘전제조건,’ ‘돌봄 환경,’ ‘돌봄 과정’이 유기적으로 연결되어 ‘인간중심돌봄 결과’에 도달할 수 있다고 하였다 [6]. 그 중 ‘전제조건’은 간호사가 자신의 견해를 알고 그것이 환자에게 미치는 영향을 인식하는 ‘신념과 가치의 명확성’이 포함되며, 이는 윤리적 문제를 인식하고, 자신의 행동이 타인에게 어떠한 영향을 미치는지 헤아리는 능력인 윤리적 민감성과 연결된다[7]. 윤리적 민감성이 낮은 경우 간호사는 자신의 간호행위가 윤리적인지 인식하지 못한 채 단순 업무에만 집중하게 되므로[8], 환자의 자율성과 선택권이 존중되지 않는 결과를 초래할 수 있다[9]. 따라서 윤리적 민감성을 확인하는 연구는 인간중심돌봄을 실천하는 데 중요한 기반이 될 것이다. 인간중심돌봄에 관한 프레임워크에서 ‘돌봄 환경'은 원활한 의료진 간의 관계와 지지적인 조직체계를 포함하며[6], 이는 신뢰를 바탕으로 지지적인 팀워크를 촉진하는 긍정 간호조직문화와 연결된다[10]. 팀워크가 잘 이루어지는 간호조직은 간호사들이 환자의 상태와 요구를 동료들과 적극적으로 소통하므로[11] 이러한 문화 전반이 인간중심돌봄에 미치는 영향을 탐색하는 연구는 간호조직이 나아가야 할 방향성을 설정하는 데 근거자료로 활용될 수 있을 것이다. 인간중심돌봄 프레임워크의 ‘돌봄 과정’은 대상자 참여와 의사결정 공유, 공감을 포함하며[6], 이는 돌봄에 대한 간호사 스스로의 자신감으로 적극적인 의사소통과 공감적 경청을 통해 대상자의 참여를 유도하는 돌봄효능감과 연결된다[12]. 또한, 환자에게 맞춤형 정보를 제공하고 개별적인 요구를 반영하므로[13], 인간중심돌봄 증진에도 기여할 수 있다. 하지만 돌봄효능감은 주로 간호대학생[14,15]을 대상으로 연구되었다. 따라서 임상현장에서 다각적인 접근이 필요하다. 이처럼 윤리적 민감성, 긍정 간호조직문화, 돌봄효능감은 인간중심돌봄을 실현하는 데 중요한 요소들이다. 인간중심돌봄을 제공하기 위해서는 개인적인 특성뿐만 아니라 조직적인 환경도 고려되어야 하므로[6], 이 세 가지 요소를 통합적으로 탐색할 필요가 있다.
이에 본 연구에서는 McCormack과 McCance의 내용을 참고하여 종합병원 임상간호사를 대상으로 ‘전제조건’의 윤리적 민감성, ‘돌봄 환경’의 긍정 간호조직문화, ‘돌봄 과정’의 돌봄효능감이 인간중심돌봄에 미치는 영향을 확인하고자 한다. 이러한 연구는 인간중심돌봄을 향상시키기 위한 전략 마련의 기초자료를 제공할 것으로 기대된다[6].
2. 연구의 목적
본 연구는 종합병원 임상간호사를 대상으로 윤리적 민감성, 긍정 간호조직문화, 돌봄효능감, 인간중심돌봄의 정도와 일반적 특성에 따른 차이를 확인하고, 변수들 간의 상관관계 및 인간중심돌봄에 미치는 영향을 파악하기 위해 수행되었다.
3. 연구의 이론적 기틀
본 연구는 보건의료 전반의 돌봄 실천을 설명하는 데 적합한 개념 모델인 McCormack과 McCance의 Person-centered Practice Framework [6]를 이론적 기반으로 삼아, 간호사의 돌봄 수행을 ‘인간중심돌봄(person-centered care)’ 개념으로 정의하고, 주요 변수를 선정하여 이론적 기틀을 구성하였다. 첫째, ‘전제조건’에는 간호사가 자신의 관점을 인지하고, 그것이 환자의 결정에 미치는 영향을 인식하는 신념과 가치의 명확성이 포함되므로, 윤리적 문제를 인식하고 자신의 행위가 타인에게 미치는 영향을 숙고할 수 있는 능력인 윤리적 민감성을 변수로 선정하였다[7]. 둘째, ‘돌봄 환경’에는 원활한 의료진 간의 관계와 지지적인 조직체계가 포함되므로, 신뢰 기반의 팀워크 형성과 조직 차원의 물질적•정서적 지원을 포함하는 개념인 긍정 간호조직문화를 선정하였다[10]. 셋째, ‘돌봄 과정’은 환자의 참여, 의사결정 공유, 공감이 포함되므로, 적극적인 의사소통과 공감적 경청, 대상자의 참여를 이끄는 돌봄효능감을 변수로 선정하였다[16]. 마지막으로, ‘인간중심돌봄 결과’는 간호사가 수행하는 인간중심돌봄의 실천 수준을 ‘결과변수’로 설정하여 영향요인을 분석하는 선행 연구[16,17]의 접근을 적용하여, 간호사가 제공하는 인간중심돌봄을 결과변수로 선정하였다(Figure 1).
1. 연구 설계
본 연구는 종합병원 임상간호사를 대상으로 윤리적 민감성, 긍정 간호조직문화, 돌봄효능감, 인간중심돌봄의 상관관계와 인간중심돌봄에 미치는 영향을 확인하기 위한 서술적 상관관계 연구이다.
2. 연구 대상
본 연구의 대상자는 종합병원에서 근무하는 임상간호사 중 본 연구의 목적을 이해하고 자발적으로 참여에 동의한 자로, 직무 적응과 돌봄의 질을 높일 수 있는 기간을 고려하여[6] 병원에서 6개월 이상 근무하며, 환자에게 직접 간호를 제공하는 간호사를 대상으로 하였다. 대상자 표본 수는 G*Power 3.1.9.7 (Heinrich-Heine-Universität Düsseldorf)을 이용하였으며, 다중회귀분석에서 필요한 표본 수 계산은 선행 연구[18]에 근거하여 유의수준(α) .05, 중간 효과크기(effect size) .15, 검정력(1-β) .90과 예측변인 15개를 적용한 결과 최소 171명이 필요한 것으로 산출되었다. 탈락률 10%를 고려하여 190명을 대상으로 자료 수집하였고, 환자에게 직접 간호를 제공하지 않거나, 불완전한 응답을 한 9명을 제외한 총 181명을 본 연구의 최종 분석에 사용하였다.
3. 연구 도구

1) 일반적 특성

연구 대상자의 일반적 특성은 선행 연구의 문헌고찰을 통하여 도출하였으며, 연령, 성별, 결혼 여부, 종교, 학력, 총 임상 경력, 현재 근무 부서 경력, 현재 직위, 현재 근무 부서, 근무 형태, 인간중심돌봄 교육 경험의 11문항으로 구성하였다.

2) 인간중심돌봄

인간중심돌봄은 Suhonen 등[19]이 임상간호사를 대상으로 개발한 간호사용 개별화된 간호측정도구(Individualized Care Scale)를 Jeong과 Park [16]이 수정•보완한 도구로 저자의 승인을 받은 후 사용하였다. 총 17문항 5점 Likert 척도이며, 점수가 높을수록 인간중심돌봄 제공 정도가 높음을 의미한다. 개발 당시[19] 도구의 신뢰도 Cronbach's α=.94이었고, Jeong과 Park [16]의 연구에서 Cronbach's α=.93이었으며, 본 연구에서는 Cronbach's α=.93이었다.

3) 윤리적 민감성

윤리적 민감성은 Jeong과 Seo [20]가 개발한 임상간호사의 윤리적 민감성 측정도구를 저자의 승인을 받은 후 사용하였다. 총 36문항의 5점 Likert 척도이며, 점수가 높을수록 윤리적 민감성이 높음을 의미한다. 개발 당시[20] 도구의 신뢰도 Cronbach’s α=.92였고, 본 연구에서는 Cronbach’s α=.95였다.

4) 긍정 간호조직문화

긍정 간호조직문화는 Pascale과 Athos [21]의 7S 모형을 바탕으로 Kim과 Kim [10]이 개발한 긍정 간호조직문화 측정 도구를 저자로부터 사용 승인을 받은 후 사용하였다. 총 26문항의 5점 Likert 척도이며, 점수가 높을수록 간호조직문화를 긍정적으로 인식함을 의미한다. 개발 당시[10] 도구의 신뢰도 Cronbach’s α=.95였고, 본 연구에서는 Cronbach’s α=.97이었다.

5) 돌봄효능감

돌봄효능감은 Coates [22]가 개발한 돌봄효능감 측정도구(Caring Efficacy Scale)를 Jeong과 Kim [23]이 수정•보완한 도구를 저자로부터 사용 승인을 받은 후 사용하였다. 총 30문항의 6점 Likert 척도이며, 점수가 높을수록 돌봄효능감이 높음을 의미한다. 개발 당시[22] 도구의 신뢰도 Cronbach’s α=.88이었고, Jeong과 Kim [23]의 연구에서는 Cronbach’s α=.92였으며, 본 연구에서는 Cronbach’s α= .94이었다.
4. 자료 수집 방법
본 연구는 간호사의 인간중심돌봄 실천 수준을 전반적으로 이해하고 다양한 간호 현장의 상황을 반영하기 위해 눈덩이 표집 방법을 적용하였다. 연구 대상자는 G도 소재 J시와 C시의 종합병원에서 근무하는 임상간호사였으며, 2024년 12월 17일부터 2025년 1월 25일까지 온라인 설문으로 진행되었다. 구체적인 모집 절차는 연구 대상 기준에 부합하는 간호사를 우선 선정하고 연구의 목적과 방법 등을 설명한 뒤, 이들을 통해 다른 병원 및 부서로 네트워크를 확장하는 방식으로 이루어졌다. 설문지 첫 페이지에는 연구 목적, 방법, 비밀보장, 참여 철회 가능성 등을 포함한 설명문과 동의 여부를 선택할 수 있는 항목을 제시하였고, G*Power 프로그램 분석 결과에 근거한 목표 표본 수 190명을 충족하여 자료수집을 종료하였다. 설문에서는 연락처를 제외한 개인 식별 데이터는 수집하지 않았다.
5. 자료 분석 방법
본 연구의 자료 분석은 IBM SPSS Statistics version 27.0 프로그램(IBM Corp.)을 이용하였으며, 구체적인 분석 방법은 다음과 같다.
1) 대상자의 윤리적 민감성, 긍정 간호조직문화, 돌봄효능감, 인간중심돌봄의 정도는 평균과 표준편차로 분석하였다.
2) 대상자의 일반적 특성은 빈도, 백분율, 평균과 표준편차로 확인하였고, 일반적 특성에 따른 변수 간의 차이는 Independent t-test, one-way analysis of variance, 사후 검정은 Scheffé test로 분석하였다.
3) 변수 간의 상관관계는 Pearson correlation analysis로 분석하였다.
4) 대상자의 인간중심돌봄에 영향을 미치는 요인은 다중회귀분석(multiple regression analysis)으로 분석하였다.
6. 윤리적 고려
본 연구는 자료 수집 전 경상남도 진주시 경상국립대학교 기관생명윤리위원회의 심의를 거쳐 승인(No. GIRB-A24-NY-0124)을 받은 후 연구를 진행하였다. 온라인 설문지 링크에 연구의 목적과 방법, 익명성과 비밀보장, 연구 참여 중단 및 철회 가능에 대해 서술하였으며, 연구 참여에 자발적으로 동의한 자에 한하여 설문 조사를 시행하였다. 온라인 설문지 링크를 통해 수집된 엑셀 파일은 비밀번호가 설정된 개인 컴퓨터에 저장하였으며, 연구자 외에는 접근할 수 없도록 보안을 유지하였다. 설문 마지막 페이지에 기재된 연락처는 연구 참여 답례품(기프티콘) 발송 후에 즉시 파기하였으며, 그 외 수집된 자료는 3년간 보관 후 복원이 불가능한 방법으로 영구 삭제할 예정이다.
1. 대상자의 윤리적 민감성, 긍정 간호조직문화, 돌봄효능감, 인간중심돌봄의 정도
본 연구대상자의 윤리적 민감성의 평균 평점은 5점 만점에 4.16±0.42점이었으며, 하위영역별로 간호업무 책임이 가장 높은 4.50±0.46점, 윤리적 부담감은 가장 낮은 3.76±0.75점이었다. 긍정 간호조직문화의 평균 평점은 5점 만점에 3.76±0.64점이었으며, 하위영역별로 신뢰기반 조직 관계 형성이 가장 높은 3.89±0.65점, 공정한 관리시스템은 가장 낮은 3.55±0.77점이었다. 돌봄효능감의 평균 평점은 6점 만점에 4.23±0.67점이었으며, 긍정 문항 4.28±0.70점, 부정 문항 4.18±0.88점이었다. 인간중심돌봄의 평균 평점은 5점 만점에 3.90±0.50점이었으며, 하위영역별로 임상 상황이 가장 높은 3.95±0.53점, 개인적인 삶의 영역은 가장 낮은 3.76±0.65점이었다(Table 1).
2. 대상자의 일반적 특성과 일반적 특성에 따른 변수 간의 차이
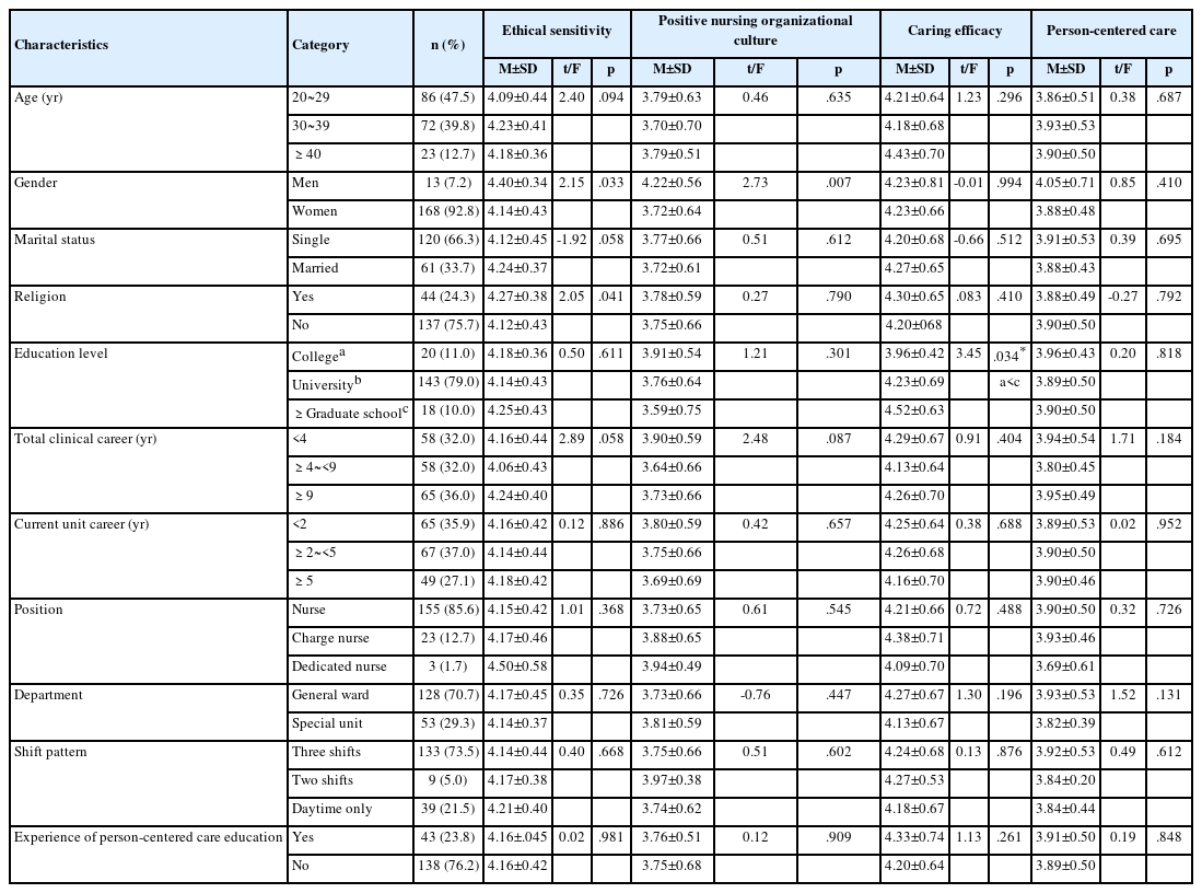
대상자의 일반적 특성 중 연령은 20~29세(86명, 47.5%)가, 결혼 여부는 미혼(120명, 66.3%)이, 종교는 없는 경우(137명, 75.7%)가 더 많았다. 학력은 학사(4년제)가 143명(79.0%)으로 가장 많았고, 직위는 일반간호사가 155명(85.6%)으로 대부분을 차지했으며, 근무부서는 병동 근무자(128명, 70.7%)가 가장 많았다. 또한, 일반적 특성에 따른 변수 간의 차이는 윤리적 민감성은 성별(t=2.15, p=.033), 종교(t=2.05, p=.041)에서, 긍정 간호조직문화는 성별(t=2.73, p=.007)에서, 돌봄효능감은 학력(t=3.45, p=.034)에 따라 통계적으로 유의한 차이가 있었다. 하지만 인간중심돌봄에 차이를 보이는 일반적 특성은 없었다(Table 2).
3. 대상자의 윤리적 민감성, 긍정 간호조직문화, 돌봄효능감, 인간중심돌봄의 상관관계
인간중심돌봄은 윤리적 민감성(r=.49, p<.001), 긍정 간호조직문화(r=.54, p<.001), 돌봄효능감(r=.58, p<.001)과 모두 양의 상관관계가 있는 것으로 나타났다(Table 3).
4. 대상자의 인간중심돌봄에 미치는 영향요인
본 연구에서 인간중심돌봄에 유의한 차이를 보이는 일반적 특성이 없어, 독립변수는 상관관계가 있는 윤리적 민감성, 긍정 간호조직문화, 돌봄효능감을 투입하여 다중회귀분석을 실시하였다. Durbin-Watson 통계량을 검정한 결과 2.026으로 2에 가까워 오차의 자기상관이 없었다. 공차한계(tolerance)는 .685~.847로 .10 이상이었고, VIF (variance inflation factor)는 1.180~1.461로 10 이하의 값으로 나타나, 독립변수들 간 다중공선성의 문제도 없었다. 표준화 잔차는 1개 값을 제외하고 모두 ±3 이내의 값으로 나타났으며, 1개의 값도 –3.155로 -3 근방의 값으로 나타나 오차항의 분포도 정규분포로 가정할 수 있었다. 마지막으로 종속변수의 표준화된 잔차와 독립변수 사이의 산포도가 특정 분포를 띄지 않고 0을 중심으로 고르게 퍼져 있어 등분산성도 확인되었다. 다중회귀분석 결과, 인간중심돌봄에 가장 큰 영향을 미치는 변수는 돌봄효능감(=.41, p<.001)이었으며, 그다음은 긍정 간호조직문화(β=.30, p<.001), 윤리적 민감성(β=.19, p=.005) 순으로 나타났다. 또한, 이들 변수는 인간중심돌봄에 대해 47.8%의 설명력을 보였다(Table 4).
본 연구는 종합병원에서 근무하는 임상간호사를 대상으로 윤리적 민감성, 긍정 간호조직문화, 돌봄효능감, 인간중심돌봄의 정도와 관계를 분석하고, 이러한 요인들이 인간중심돌봄에 미치는 영향을 파악하고자 시도되었다. 그 결과 본 연구 대상자의 인간중심돌봄 정도는 평균 5점 만점에 3.90점이었으며, 하위영역 중 ‘임상상황’이 3.95점으로 가장 높고, ‘개인적인 삶의 영역’이 3.76점으로 가장 낮았다. 이는 동일한 도구를 사용한 요양병원 간호사 대상 연구[24]와 상급종합병원 간호사 대상 연구[16,25]에서 비교적 ‘임상상황’이 3.52~3.82점으로 높고, ‘개인적인 삶의 영역’이 3.23~3.51점으로 낮은 것과 유사하다. 이러한 결과는 간호사가 환자의 임상적 요구에 민감하나[5], 개인적인 배경이나 삶의 질을 존중하는 간호 실천은 상대적으로 부족함을 나타낸다[24]. 윤리적 민감성 정도는 평균 5점 만점에 4.16점이었으며, 동일한 도구를 사용한 요양병원 간호사 대상 연구[8]의 4.01점 및 중환자실 간호사 대상 연구[26]의 4.14점과 유사하거나 다소 높은 수준이었다. 긍정 간호조직문화 정도는 평균 5점 만점에 3.76점이었으며, 동일한 도구를 사용한 종합병원 간호사 대상 연구[27,28]의 3.87점과 3.91점보다 다소 낮은 수준이었다. 반면, 요양병원 간호사 대상 연구[29]의 3.48점보다는 높은 결과를 보였다. 하지만 요양병원 관련 연구가 소수에 불과하여 직접적인 비교 및 일반화된 해석 도출에는 주의가 요구된다. 또한 본 연구에서는 윤리적 민감성과 긍정 간호조직문화가 성별에 따라 유의한 차이를 보였다. 이는 전체 참여자 중 남성 간호사의 비율이 7.2%로 낮으므로 표본의 수적 불균형을 고려한 해석이 필요하다. 돌봄효능감 정도는 평균 6점 만점에 4.23점으로 나타났으며, 동일한 도구를 사용한 요양병원 간호사 대상 연구[30,31]의 4.41점과 4.45점 보다 낮은 결과를 보였다. 특히, 본 연구에서 돌봄효능감이 학력에 따라 전문학사 졸업집단과 대학원 이상 집단 간의 유의한 차이가 있었으나, 해당 두 집단의 표본 수가 각각 20명(11.0%)과 18명(10.0%)으로 대학 졸업 집단 143명(79%)과 비교했을 때 수적 차이가 크다는 점에서 결과 해석에 한계가 있을 수 있다.
본 연구의 다중회귀분석 결과 종합병원 임상간호사의 인간중심돌봄에 영향을 미치는 요인은 돌봄효능감, 긍정 간호조직문화, 윤리적 민감성 순으로 확인되었으며, 돌봄효능감이 가장 큰 영향요인이었다. 이는 동일한 도구를 사용한 요양병원 간호사를 대상으로 한 연구[31]에서 돌봄효능감이 인간중심돌봄에 유의한 영향요인으로 나타나 본 연구 결과를 지지하였다. 또한, 간호사의 돌봄효능감이 높을수록 대상자 중심의 간호를 보다 자신감 있게 실천할 수 있으며, 이는 곧 인간중심간호 역량 강화로 이어진다는 점에서 그 중요성이 강조된다[14]. 특히, 돌봄 교육은 돌봄효능감을 증진시키는 주요 요인으로 제시되었으며[15,32], 대상자에 대한 공감능력, 동료 간의 사회적지지, 직무에 대한 만족도 또한 돌봄효능감에 영향 요인으로 보고되고 있어[12,15,31], 교육 프로그램 제공, 조직 내 지지체계 강화, 직무 만족도를 높이기 위한 제도적 지원 등 다면적으로 접근하는 것이 인간중심돌봄을 제공하는 데 중요한 전략이 될 것이다. 인간중심돌봄의 두 번째 영향요인은 긍정 간호조직문화였다. 이는 동일한 도구를 사용한 종합병원 간호사를 대상으로 한 연구[27,28]에서 긍정 간호조직문화가 인간중심돌봄에 유의한 영향 요인으로 나타나 본 연구 결과를 지지하였다. 또한, 간호사들이 공정하게 대우를 받는다고 느끼는 경우 환자와 보호자를 차별 없이 존중하는 경향이 있으며[33], 근무 환경이 좋을수록 인간중심돌봄을 더 잘 제공한다는 선행 연구 결과[34,35]와도 유사하다. 따라서 긍정 간호조직문화를 강화하기 위해서는 신뢰와 존중이 바탕이 되는 조직 분위기를 조성하고, 인력과 자원 등을 효율적으로 분배하여 인간중심돌봄을 장려하는 방향으로 운영될 수 있도록 조직적인 지원이 요구된다. 인간중심돌봄의 세 번째 영향요인은 윤리적 민감성이었다. 이는 동일한 도구를 사용한 중환자실 간호사 대상 연구[26]에서 윤리적 민감성이 인간중심간호 수행에 유의한 영향 요인으로 보고되어 본 연구 결과를 지지하였다. 또한, 요양병원 간호사 대상 한 연구[24]에서 도덕적 민감성이 인간중심돌봄에 유의한 영향 요인으로 나타나 본 연구와 유사한 결과를 보였다. 환자 돌봄 능력과 의사결정 과정에 중요한 영향을 미치는 윤리적 민감성은 임상에서의 윤리적 문제를 다루는 경험과 훈련을 통해 향상될 수 있으므로[20], 간호사의 윤리적 민감성을 향상시키기 위한 윤리 교육을 제공하는 것이 인간중심돌봄을 실현하는 데 중요한 기반이 될 것이다.
결론적으로 돌봄효능감은 대상자 중심의 간호를 자신감 있게 수행하는 데 기여하고, 긍정 간호조직문화는 협력과 지원을 통해 이를 뒷받침하며, 윤리적 민감성은 윤리적 상황에서 올바른 의사결정을 가능하게 하여 인간중심돌봄을 실현하는 데 중요한 역할을 한다. 이러한 점을 고려할 때, 인간중심돌봄을 강화하기 위해서는 이들 영향요인에 대한 구체적이고 실천 가능한 전략이 마련될 필요가 있다. 예를 들어, 돌봄효능감을 향상시키기 위해 돌봄 역량 강화 프로그램을 운영하고, 우수 돌봄 사례를 발굴하여 포상하는 인센티브 제도를 도입할 수 있다. 또한, 긍정 간호조직문화를 조성하기 위해 공감 리더십과 팀워크 증진을 위한 워크숍을 실시하고, 윤리적 민감성을 높이기 위해 실제 사례 기반의 윤리 교육을 정기적으로 운영할 필요가 있다. 아울러, 인간중심돌봄 역량 강화를 위해 간호사 보수교육 과정에 관련 내용을 필수 교육과정으로 편성하고, 간호사가 질 높은 돌봄을 안정적으로 제공할 수 있도록 충분한 인력 확보와 근무환경 개선 등 정책적 지원 방안도 마련되어야 한다. 이러한 다차원적 접근은 간호사가 인간중심돌봄을 실천하는 데 필요할 것이다.
본 연구는 McCormack과 McCance의 이론적 기틀에 따라 네 가지 핵심 요소를 적용하였으며, 종합병원의 다양한 부서에서 근무하는 임상간호사를 대상으로 검증을 처음 시도했다는 점에서 의의가 있다[6]. 선행 연구들은 이론을 적용하되 네 가지 구성 요소 중 일부 영역에만 초점을 두었거나[16], 네 가지 영역을 통합적으로 다루었더라도 연구 대상을 호스피스 병동[18], 중환자실[17] 등 특정 임상 부서로 한정하여 인간중심돌봄 영향 요인을 확인하는 경우가 대부분이었다. 국내 임상간호사의 약 61%가 종합병원에서 근무하고 있는 현실을 고려할 때[36], 다양한 부서의 종합병원 간호사를 포괄한 본 연구는 임상 현장 전반을 이해하고 향후 간호 현장에서 인간중심돌봄을 강화하는 구체적인 전략을 마련하는 데 근거를 제공할 것으로 기대된다. 다만, 본 연구는 자가보고식 설문을 통해 자료 수집하였으므로 응답자의 주관적 인식인 사회적 바람직성 편향이 연구 결과에 영향을 미쳤을 수 있고, 눈덩이 표집 방법 사용에 따른 표본 대표성 및 결과 일반화의 한계가 있으므로, 결과 해석과 적용 시에는 주의가 필요하다.
본 연구는 종합병원 임상간호사를 대상으로 윤리적 민감성, 긍정 간호조직문화, 돌봄효능감, 인간중심돌봄의 정도를 파악하고, 이들 간의 상관관계와 인간중심돌봄에 미치는 영향을 확인하기 위한 서술적 상관관계 연구이다. 본 연구 결과 종합병원 간호사의 인간중심돌봄은 윤리적 민감성, 긍정 간호조직문화, 돌봄효능감과 양의 상관관계가 있었으며, 인간중심돌봄에 영향을 미치는 요인은 돌봄효능감, 긍정 간호조직문화, 윤리적 민감성 순으로 나타났고, 이들의 총 설명력은 47.8%였다.
이와 같은 결과를 바탕으로 인간중심돌봄 실천 강화를 위해서는 간호사의 돌봄효능감을 향상시킬 수 있는 맞춤형 교육 프로그램이 마련될 필요가 있다. 또한, 긍정 간호조직문화를 정착시키기 위해 구성원 간의 신뢰와 존중을 바탕으로 한 관계를 형성하고, 개방적인 의사소통을 장려하는 조직 차원의 운영이 요구된다. 아울러, 간호사의 윤리적 민감성을 높일 수 있도록 윤리적 의사결정을 지원하는 환경을 조성하고 지속적인 교육을 제공해야 할 것이다.

Author contributions

Conceptualization: SYC, SJK. Methodology: SYC, SJK. Formal analysis: SJK. Data curation: SJK. Visualization: SJK. Writing - original draft: SJK. Writing - review & editing: SYC. All authors read and agreed to the published version of the manuscript.

Conflict of interest

None.

Funding

None.

Data availability

Please contact the corresponding author for data availability.

Acknowledgments

None.

Figure 1.
Theoretical framework of the study.
jkana-2025-0042f1.jpg
Table 1.
Descriptive Statistics for Study Variables (N=181)
Variable M±SD
Ethical sensitivity 4.16±0.42
 Patient respect 4.45±0.45
 Professional ethics 4.43±0.43
 Nursing practice responsibilities 4.50±0.46
 Willingness to do good 3.85±0.63
 Ethical contemplation 3.90±0.68
 Ethical burden 3.76±0.75
 Perception of ethical situation 3.96±0.62
 Empathy 3.79±0.64
Positive nursing organizational culture 3.76±0.64
 Pursuit of common values 3.83±0.63
 Form organizational relationship based on trust 3.89±0.65
 Fair management system 3.55±0.77
 Positive leadership of nursing unit manager 3.64±0.89
Caring efficacy 4.23±0.67
 Positive items 4.28±0.70
 Negative items 4.18±0.88
Person-centered care 3.90±0.50
 Clinical situation 3.95±0.53
 Personal life 3.76±0.65
 Decision making 3.93±0.52

M=mean; SD=standard deviation.

Table 2.
General Characteristics and Differences in Study Variables According to Characteristics of Participants (N= 181)
Characteristics Category n (%) Ethical sensitivity Positive nursing organizational culture Caring efficacy Person-centered care
M±SD t/F p M±SD t/F p M±SD t/F p M±SD t/F p
Age (yr) 20~29 86 (47.5) 4.09±0.44 2.40 .094 3.79±0.63 0.46 .635 4.21±0.64 1.23 .296 3.86±0.51 0.38 .687
30~39 72 (39.8) 4.23±0.41 3.70±0.70 4.18±0.68 3.93±0.53
≥40 23 (12.7) 4.18±0.36 3.79±0.51 4.43±0.70 3.90±0.50
Gender Men 13 (7.2) 4.40±0.34 2.15 .033 4.22±0.56 2.73 .007 4.23±0.81 -0.01 .994 4.05±0.71 0.85 .410
Women 168 (92.8) 4.14±0.43 3.72±0.64 4.23±0.66 3.88±0.48
Marital status Single 120 (66.3) 4.12±0.45 -1.92 .058 3.77±0.66 0.51 .612 4.20±0.68 -0.66 .512 3.91±0.53 0.39 .695
Married 61 (33.7) 4.24±0.37 3.72±0.61 4.27±0.65 3.88±0.43
Religion Yes 44 (24.3) 4.27±0.38 2.05 .041 3.78±0.59 0.27 .790 4.30±0.65 .08 .410 3.88±0.49 -0.27 .792
No 137 (75.7) 4.12±0.43 3.75±0.66 4.20±068 3.90±0.50
Education level Collegea 20 (11.0) 4.18±0.36 0.50 .611 3.91±0.54 1.21 .301 3.96±0.42 3.45 .034* 3.96±0.43 0.20 .818
Universityb 143 (79.0) 4.14±0.43 3.76±0.64 4.23±0.69 a<c 3.89±0.50
≥Graduate schoolc 18 (10.0) 4.25±0.43 3.59±0.75 4.52±0.63 3.90±0.50
Total clinical career (yr) <4 58 (32.0) 4.16±0.44 2.89 .058 3.90±0.59 2.48 .087 4.29±0.67 0.91 .404 3.94±0.54 1.71 .184
≥4~<9 58 (32.0) 4.06±0.43 3.64±0.66 4.13±0.64 3.80±0.45
≥9 65 (36.0) 4.24±0.40 3.73±0.66 4.26±0.70 3.95±0.49
Current unit career (yr) <2 65 (35.9) 4.16±0.42 0.12 .886 3.80±0.59 0.42 .657 4.25±0.64 0.38 .688 3.89±0.53 0.02 .952
≥2~<5 67 (37.0) 4.14±0.44 3.75±0.66 4.26±0.68 3.90±0.50
≥5 49 (27.1) 4.18±0.42 3.69±0.69 4.16±0.70 3.90±0.46
Position Nurse 155 (85.6) 4.15±0.42 1.01 .368 3.73±0.65 0.61 .545 4.21±0.66 0.72 .488 3.90±0.50 0.32 .726
Charge nurse 23 (12.7) 4.17±0.46 3.88±0.65 4.38±0.71 3.93±0.46
Dedicated nurse 3 (1.7) 4.50±0.58 3.94±0.49 4.09±0.70 3.69±0.61
Department General ward 128 (70.7) 4.17±0.45 0.35 .726 3.73±0.66 -0.76 .447 4.27±0.67 1.30 .196 3.93±0.53 1.52 .131
Special unit 53 (29.3) 4.14±0.37 3.81±0.59 4.13±0.67 3.82±0.39
Shift pattern Three shifts 133 (73.5) 4.14±0.44 0.40 .668 3.75±0.66 0.51 .602 4.24±0.68 0.13 .876 3.92±0.53 0.49 .612
Two shifts 9 (5.0) 4.17±0.38 3.97±0.38 4.27±0.53 3.84±0.20
Daytime only 39 (21.5) 4.21±0.40 3.74±0.62 4.18±0.67 3.84±0.44
Experience of person-centered care education Yes 43 (23.8) 4.16±.045 0.02 .981 3.76±0.51 0.12 .909 4.33±0.74 1.13 .261 3.91±0.50 0.19 .848
No 138 (76.2) 4.16±0.42 3.75±0.68 4.20±0.64 3.89±0.50

M=mean; SD=standard deviation.

*Scheffé test.

Table 3.
Correlations among Variables (N=181)
Variable r (p)
Ethical sensitivity Positive nursing organizational culture Caring efficacy Person-centered care
Ethical sensitivity 1
Positive nursing organizational culture .54 (<.001) 1
Caring efficacy .34 (<.001) .34 (<.001) 1
Person-centered care .49 (<.001) .54 (<.001) .58 (<.001) 1
Table 4.
Factors Affecting Person-Centered Care (N=181)
Β SE β t p
(Constant) 14.17 4.71 - 3.01 .003
Ethical sensitivity 0.10 0.04 .19 2.87 .005
Positive nursing organizational culture 0.15 0.03 .30 4.54 <.001
Caring efficacy 0.17 0.03 .41 7.03 <.001
F= 55.84, p<.001, R2=.486, Adj R2=.478

SE=standard error.

  • 1. Kang JY, Cho YS, Jeong YJ, Kim SG, Yun SY, Shim MY. Development and validation of a measurement to assess person-centered critical care nursing. Journal of Korean Academy of Nursing. 2018;48(3):323-334. https://doi.org/10.4040/jkan.2018.48.3.323
  • 2. Avanecean D, Calliste D, Contreras T, Lim Y, Fitzpatrick A. Effectiveness of patient-centered interventions on falls in the acute care setting: a quantitative systematic review protocol. JBI Evidence Synthesis. 2017;15(1):55-65. https://doi.org/10.11124/JBISRIR-2016-002981
  • 3. Lee JY, Lee SW, Oh EG. Conceptualization of Person-centered care in Korean nursing literature: a scoping review. Korean Journal of Adult Nursing. 2020;32(4):354-363. https://doi.org/10.7475/kjan.2020.32.4.354
  • 4. Jakimowicz S, Perry L, Lewis J. Insights on compassion and patient-centred nursing in intensive care: A constructivist grounded theory. Journal of Clinical Nursing. 2018;27(7-8):1599-1611. https://doi.org/10.1111/jocn.14231
  • 5. Van Belle E, Giesen J, Conroy T, van Mierlo M, Vermeulen H, Huisman-de Waal G, et al. Exploring person-centred fundamental nursing care in hospital wards: A multi-site ethnography. Journal of Clinical Nursing. 2020;29(11-12):1933-1944. https://doi.org/10.1111/jocn.15024
  • 6. Slater P, McCance T, McCormack B. The development and testing of the Person-centred Practice Inventory-Staff (PCPI-S). International Journal for Quality in Health Care. 2017;29(4):541-547. https://doi.org/10.1093/intqhc/mzx066
  • 7. Kim YK, Joung MY. Influence of nursing professionalism and campus environment on the perception of ethical sensitivity among nursing students. The Journal of Korean Academic Society of Nursing Education. 2019;25(1):115-124. https://doi.org/10.5977/jkasne.2019.25.1.115
  • 8. Lee HR, Yang NY. Influence of ethical sensitivity and person-environment fit on person-centered care of nurses in long-term care hospitals. Journal of Home Health Care Nursing. 2022;29(2):175-182. https://doi.org/10.22705/jkashcn.2022.29.2.175
  • 9. Jung SR, Min HY. The influence of moral distress, empowerment and nursing practice environment on nurses’ person-centered care in long-term care hospitals: a cross-sectional study. Journal of Korean Gerontological Nursing. 2022;24(3):291-300. https://doi.org/10.17079/jkgn.2022.24.3.291
  • 10. Kim MJ, Kim JK. Development of a positive nursing organizational culture measurement tool. Journal of Korean Academy of Nursing. 2021;51(3):305-319. https://doi.org/10.4040/jkan.21014
  • 11. Chung SJ, Hwang JI. Hospital nurses' experience of patient-centered nursing. Quality Improvement in Health Care. 2021;27(1):26-42. https://doi.org/10.14371/QIH.2021.27.1.26
  • 12. Reid C, Courtney M, Anderson D, Hurst C. The ‘caring experience’: Testing the psychometric properties of the Caring Efficacy Scale. International Journal of Nursing Practice. 2015;21(6):904-912. https://doi.org/10.1111/ijn.12327
  • 13. Huang X, Wang C, Hua L, Gao Y, Zhou S, Wang X. Social context, self-efficacy, and patient-centered service behavior of medical professionals: The moderating role of achievement motivation. Frontiers in Psychiatry. 2022;13:784228. https://doi.org/10.3389/fpsyt.2022.784228
  • 14. Yun JY, Cho IY, Park SJ. Mediation and moderation effects of nursing professionalism between caring efficacy and person centered care competency in nursing students. Journal of Next-generation Convergence Technology Association. 2022;6(4):718-729. https://doi.org/10.33097/JNCTA.2022.06.04.718
  • 15. Lee JS, Cho HY. The mediating effects of social support and interpersonal competence on the relationship between empathy and caring efficiency in nursing students. The Journal of Korean Academic Society of Nursing Education. 2021;27(2):186-196. https://doi.org/10.5977/jkasne.2021.27.2.186
  • 16. Jeong H, Park M. A predictive model on patient-centered care of hospital nurses in Korea. Journal of Korean Academy of Nursing. 2019;49(2):191-202. https://doi.org/10.4040/jkan.2019.49.2.191
  • 17. Kang HS, Seo MJ. The factors affecting person-centered care nursing in intensive care unit nurses. Journal of Korean Critical Care Nursing. 2021;14(3):14-25. https://doi.org/10.34250/jkccn.2021.14.3.14
  • 18. Kwon SY, Kim KH. Factors associated with person-centered care among hospice nurses. Journal of Hospice and Palliative Care. 2022;25(2):66-75. https://doi.org/10.14475/jhpc.2022.25.2.66
  • 19. Suhonen R, Gustafsson ML, Katajisto J, Välimäki M, Leino-Kilpi H. Individualized care scale - nurse version: A Finnish validation study. Journal of Evaluation in Clinical Practice. 2010;16(1):145-154. https://doi.org/10.1111/j.1365-2753.2009.01168.x
  • 20. Jeong MY, Seo JM. Development of an ethical sensitivity scale for clinical nurses. Journal of Korean Academy of Fundamentals of Nursing. 2020;27(4):375-386. https://doi.org/10.7739/jkafn.2020.27.4.375
  • 21. Pascale RT, Athos AG. The art of Japanese management: Applications for American executives. London: Penguin Books; 1981.
  • 22. Coates CJ. The Caring Efficacy Scale: Nurses' self-reports of caring in practice settings. Advanced Practice Nursing Quarterly. 1997;3(1):53-9.
  • 23. Jeong JO, Kim S. The effect of an empathy education program on nursing students' empathy ability, interpersonal ability, and caring. The Journal of Korean Academic Society of Nursing Education. 2019;25(3):344-356. https://doi.org/10.5977/jkasne.2019.25.3.344
  • 24. Park JM. The effects of burnout, interpersonal relationship ability, and moral sensitivity on person-centered care among nurses in long-term care hospitals [master’s thesis]. Jeonju: Jesus University; 2024. p. 1-78.
  • 25. Kim MY, Cha JY. The influence of health literacy competencies on patient-centered care among clinical nurses. The Journal of Korean Academic Society of Nursing Education. 2021;27(2):132-143. https://doi.org/10.5977/jkasne.2021.27.2.132
  • 26. Kim J. The effects of patient-centered communication competence and ethical sensitivity on person-centered care among intensive care unit nurses [master’s thesis]. Daejeon: Chungnam National University; 2023. p. 1-70.
  • 27. Shin SM, Moon H. Factors influencing on person-centered nursing in general hospital nurses by resilience, patient-centered communication competence, and positive nursing organizational culture. Korea and Global Affairs. 2023;7(3):509-536. https://doi.org/10.22718/kga.2023.7.3.020
  • 28. Lee JE, Jang HY. The influence of ethical nursing competence and positive nursing organizational culture on person-centered care in intensive care unit nurses: A cross-sectional survey. Journal of Korean Academy of Fundamentals of Nursing. 2024;31(3):304-314. https://doi.org/10.7739/jkafn.2024.31.3.304
  • 29. Yang HM. Effects of moral sensitivity and positive nursing organizational culture on safety nursing activities of nurses in long-term care hospitals. Korean Journal of Safety Culture. 2024;34:149-160. http://doi.org/10.52902/kjsc.2024.34.149
  • 30. Jeon KA. An analysis of factors affecting dementia care behavior among nurses in long-term care hospitals [dissertation]. Uijeongbu: Shinhan University; 2021. p. 1-93.
  • 31. Kang GH, Je NJ, Lee MJ. The effects of nursing hospital nurses' caring efficacy and empathy competence on human-centered care. The Journal of the Convergence on Culture Technology. 2023;9(4):363-374. https://doi.org/10.17703/JCCT.2023.9.4.363
  • 32. Choi HJ. The analysis of contents in domestic research on caring efficacy. Journal of Learner-Centered Curriculum and Instruction. 2022;22(9):311-320. http://doi.org/10.22251/jlcci.2022.22.9.311
  • 33. Hong Y, Zhu B, Chen C, Qiu M, Liu L. Belief in a just world and fair behavior among clinical nurses: a moderated mediation model of empathy and observer justice sensitivity. BMC Nursing. 2024;23:(1):475. https://doi.org/10.1186/s12912-024-02140-3
  • 34. Jang SH, Shin HH. The influence of attitude toward dementia and nursing practice environment on person-centered care in long-term care hospital nurses. Journal of Health Informatics and Statistics. 2023;48(4):306-313. https://doi.org/10.21032/jhis.2023.48.4.306
  • 35. Kang JY, Lim YM. The relationship between the work environment and person-centered critical care nursing for intensive care nurses. Journal of Korean Critical Care Nursing. 2019;12(2):73-84. https://doi.org/10.34250/jkccn.2019.12.2.73
  • 36. National Health Insurance Service. Status of medical personnel by type of medical institution (nurses and other staff) [Internet]. Wonju: National Health Insurance Service; 2024 [cited 2026 Jan 10]. Available from: https://kosis.kr/statHtml/statHtml.do?orgId=354&tblId=DT_HIRA4A&conn_path=I2

Figure & Data

References

    Citations

    Citations to this article as recorded by  

      Download Citation

      Download a citation file in RIS format that can be imported by all major citation management software, including EndNote, ProCite, RefWorks, and Reference Manager.

      Format:

      Include:

      The Influence of Clinical Nurses’ Ethical Sensitivity, Positive Nursing Organizational Culture, and Caring Efficacy on Person-Centered Care in General Hospitals
      J Korean Acad Nurs Adm. 2026;32(2):104-113.   Published online March 31, 2026
      Download Citation
      Download a citation file in RIS format that can be imported by all major citation management software, including EndNote, ProCite, RefWorks, and Reference Manager.

      Format:
      • RIS — For EndNote, ProCite, RefWorks, and most other reference management software
      • BibTeX — For JabRef, BibDesk, and other BibTeX-specific software
      Include:
      • Citation for the content below
      The Influence of Clinical Nurses’ Ethical Sensitivity, Positive Nursing Organizational Culture, and Caring Efficacy on Person-Centered Care in General Hospitals
      J Korean Acad Nurs Adm. 2026;32(2):104-113.   Published online March 31, 2026
      Close

      Figure

      • 0
      The Influence of Clinical Nurses’ Ethical Sensitivity, Positive Nursing Organizational Culture, and Caring Efficacy on Person-Centered Care in General Hospitals
      Image
      Figure 1. Theoretical framework of the study.
      The Influence of Clinical Nurses’ Ethical Sensitivity, Positive Nursing Organizational Culture, and Caring Efficacy on Person-Centered Care in General Hospitals
      Variable M±SD
      Ethical sensitivity 4.16±0.42
       Patient respect 4.45±0.45
       Professional ethics 4.43±0.43
       Nursing practice responsibilities 4.50±0.46
       Willingness to do good 3.85±0.63
       Ethical contemplation 3.90±0.68
       Ethical burden 3.76±0.75
       Perception of ethical situation 3.96±0.62
       Empathy 3.79±0.64
      Positive nursing organizational culture 3.76±0.64
       Pursuit of common values 3.83±0.63
       Form organizational relationship based on trust 3.89±0.65
       Fair management system 3.55±0.77
       Positive leadership of nursing unit manager 3.64±0.89
      Caring efficacy 4.23±0.67
       Positive items 4.28±0.70
       Negative items 4.18±0.88
      Person-centered care 3.90±0.50
       Clinical situation 3.95±0.53
       Personal life 3.76±0.65
       Decision making 3.93±0.52
      Characteristics Category n (%) Ethical sensitivity Positive nursing organizational culture Caring efficacy Person-centered care
      M±SD t/F p M±SD t/F p M±SD t/F p M±SD t/F p
      Age (yr) 20~29 86 (47.5) 4.09±0.44 2.40 .094 3.79±0.63 0.46 .635 4.21±0.64 1.23 .296 3.86±0.51 0.38 .687
      30~39 72 (39.8) 4.23±0.41 3.70±0.70 4.18±0.68 3.93±0.53
      ≥40 23 (12.7) 4.18±0.36 3.79±0.51 4.43±0.70 3.90±0.50
      Gender Men 13 (7.2) 4.40±0.34 2.15 .033 4.22±0.56 2.73 .007 4.23±0.81 -0.01 .994 4.05±0.71 0.85 .410
      Women 168 (92.8) 4.14±0.43 3.72±0.64 4.23±0.66 3.88±0.48
      Marital status Single 120 (66.3) 4.12±0.45 -1.92 .058 3.77±0.66 0.51 .612 4.20±0.68 -0.66 .512 3.91±0.53 0.39 .695
      Married 61 (33.7) 4.24±0.37 3.72±0.61 4.27±0.65 3.88±0.43
      Religion Yes 44 (24.3) 4.27±0.38 2.05 .041 3.78±0.59 0.27 .790 4.30±0.65 .08 .410 3.88±0.49 -0.27 .792
      No 137 (75.7) 4.12±0.43 3.75±0.66 4.20±068 3.90±0.50
      Education level Collegea 20 (11.0) 4.18±0.36 0.50 .611 3.91±0.54 1.21 .301 3.96±0.42 3.45 .034* 3.96±0.43 0.20 .818
      Universityb 143 (79.0) 4.14±0.43 3.76±0.64 4.23±0.69 a<c 3.89±0.50
      ≥Graduate schoolc 18 (10.0) 4.25±0.43 3.59±0.75 4.52±0.63 3.90±0.50
      Total clinical career (yr) <4 58 (32.0) 4.16±0.44 2.89 .058 3.90±0.59 2.48 .087 4.29±0.67 0.91 .404 3.94±0.54 1.71 .184
      ≥4~<9 58 (32.0) 4.06±0.43 3.64±0.66 4.13±0.64 3.80±0.45
      ≥9 65 (36.0) 4.24±0.40 3.73±0.66 4.26±0.70 3.95±0.49
      Current unit career (yr) <2 65 (35.9) 4.16±0.42 0.12 .886 3.80±0.59 0.42 .657 4.25±0.64 0.38 .688 3.89±0.53 0.02 .952
      ≥2~<5 67 (37.0) 4.14±0.44 3.75±0.66 4.26±0.68 3.90±0.50
      ≥5 49 (27.1) 4.18±0.42 3.69±0.69 4.16±0.70 3.90±0.46
      Position Nurse 155 (85.6) 4.15±0.42 1.01 .368 3.73±0.65 0.61 .545 4.21±0.66 0.72 .488 3.90±0.50 0.32 .726
      Charge nurse 23 (12.7) 4.17±0.46 3.88±0.65 4.38±0.71 3.93±0.46
      Dedicated nurse 3 (1.7) 4.50±0.58 3.94±0.49 4.09±0.70 3.69±0.61
      Department General ward 128 (70.7) 4.17±0.45 0.35 .726 3.73±0.66 -0.76 .447 4.27±0.67 1.30 .196 3.93±0.53 1.52 .131
      Special unit 53 (29.3) 4.14±0.37 3.81±0.59 4.13±0.67 3.82±0.39
      Shift pattern Three shifts 133 (73.5) 4.14±0.44 0.40 .668 3.75±0.66 0.51 .602 4.24±0.68 0.13 .876 3.92±0.53 0.49 .612
      Two shifts 9 (5.0) 4.17±0.38 3.97±0.38 4.27±0.53 3.84±0.20
      Daytime only 39 (21.5) 4.21±0.40 3.74±0.62 4.18±0.67 3.84±0.44
      Experience of person-centered care education Yes 43 (23.8) 4.16±.045 0.02 .981 3.76±0.51 0.12 .909 4.33±0.74 1.13 .261 3.91±0.50 0.19 .848
      No 138 (76.2) 4.16±0.42 3.75±0.68 4.20±0.64 3.89±0.50
      Variable r (p)
      Ethical sensitivity Positive nursing organizational culture Caring efficacy Person-centered care
      Ethical sensitivity 1
      Positive nursing organizational culture .54 (<.001) 1
      Caring efficacy .34 (<.001) .34 (<.001) 1
      Person-centered care .49 (<.001) .54 (<.001) .58 (<.001) 1
      Β SE β t p
      (Constant) 14.17 4.71 - 3.01 .003
      Ethical sensitivity 0.10 0.04 .19 2.87 .005
      Positive nursing organizational culture 0.15 0.03 .30 4.54 <.001
      Caring efficacy 0.17 0.03 .41 7.03 <.001
      F= 55.84, p<.001, R2=.486, Adj R2=.478
      Table 1. Descriptive Statistics for Study Variables (N=181)

      M=mean; SD=standard deviation.

      Table 2. General Characteristics and Differences in Study Variables According to Characteristics of Participants (N= 181)

      M=mean; SD=standard deviation.

      Scheffé test.

      Table 3. Correlations among Variables (N=181)

      Table 4. Factors Affecting Person-Centered Care (N=181)

      SE=standard error.

      TOP